Figure 3
From: Spin transport in a lateral spin valve with a suspended Cu channel

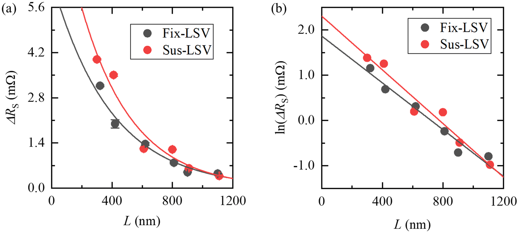
(a) L dependence of ΔRS obtained from the Fix-LSV and the Sus-LSV. Here, L is the centre-to-centre distance of the Py electrodes, and ΔRS is described as ΔV/I, where ΔV is the difference in voltage between the anti-parallel and parallel states of the Py electrodes and I is the source current. The solid lines are obtained from Eq. (1) in the main text, with λCu = 390 nm in the Fix-LSV and λCu = 340 nm in the Sus-LSV. (b Natural logarithm of (a) on the vertical axis. The solid lines are obtained from Eq. (2) in the main text. The error bars represent the standard errors obtained from the parallel-state voltage in Fig. 2.