Figure 7
From: Ultraviolet aging study on bitumen modified by a composite of clay and fumed silica nanoparticles

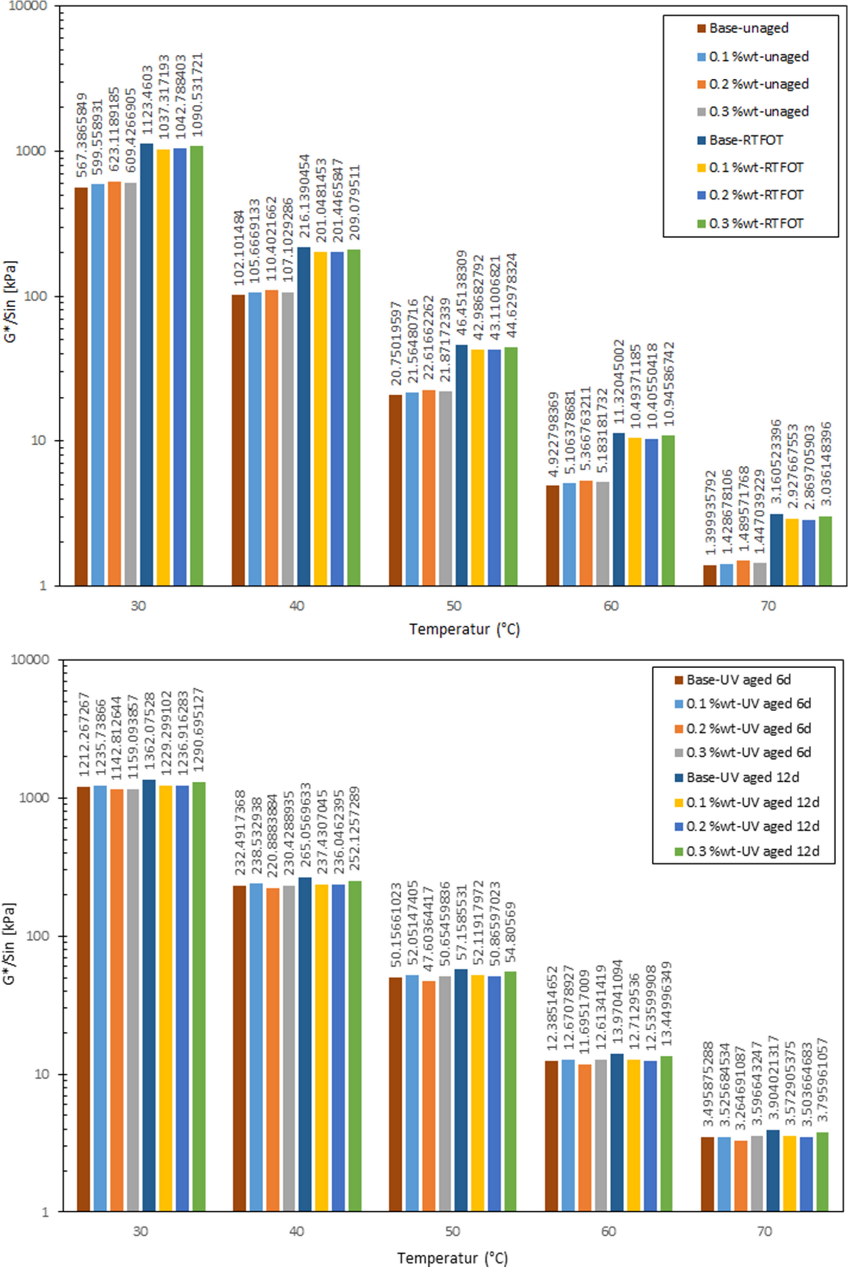
Rutting resistance of bitumen modified with CS-NPs in unaged condition, in short-term aged condition (RTFOT), and in UV aged condition.
From: Ultraviolet aging study on bitumen modified by a composite of clay and fumed silica nanoparticles

Rutting resistance of bitumen modified with CS-NPs in unaged condition, in short-term aged condition (RTFOT), and in UV aged condition.