Figure 8
From: The role and function of IκKα/β in monocyte impairment

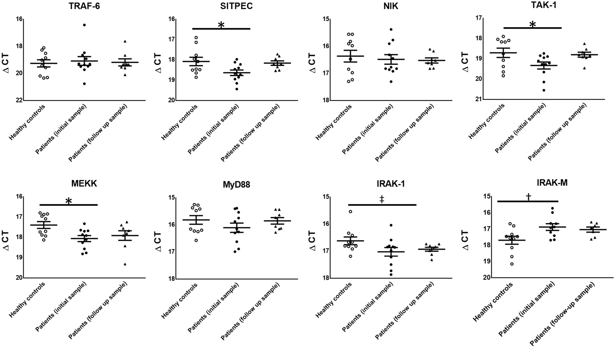
Patients with infection have decreased toll-like receptor gene expression. Peripheral blood was sampled from patients during infection and after recovery, and compared to that of healthy volunteers. CD14 monocytes were isolated from whole blood and toll-like receptor gene expression was measured with normalization to 18S. *p < 0.05, ‡p = 0.07, †p = 0.06 ANOVA with post-hoc Holm–Sidak test.