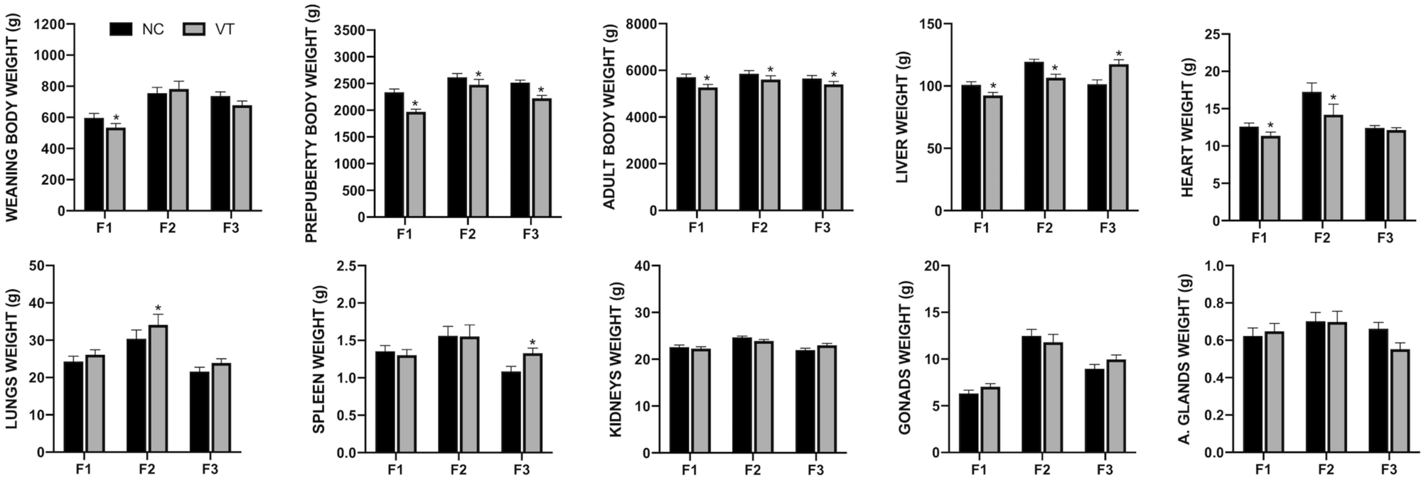
Figure 2

Differences in phenotypic traits between naturally-conceived (NC) and vitrified-transferred (VT) progenies during three generations (F1, F2, F3). Asterisks denote relevant differences between VT animals and their NC counterparts (Bayesian inference: |DNC-VT|> R and P0 > 0.8; Supplementary Table S2).