Figure 4
From: Reversible switching mode change in Ta2O5-based resistive switching memory (ReRAM)

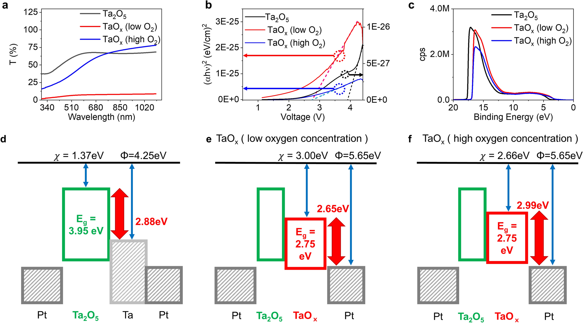
Measurement of band structure (a) Transmittance plot and (b) Tuac relation plot using transmittance and (c) UPS result of Ta2O5, TaOx (low O2) and TaOx (high O2) layer. The band structure of the Pt/Ta2O5/Ta/Pt device as shown (d), (e), (f). Each figure represented in (d) as-fabricated device, and device with (e) TaOx (low oxygen concentration) and (f) TaOx (high oxygen concentration).