Thank you for visiting nature.com. You are using a browser version with limited support for CSS. To obtain
the best experience, we recommend you use a more up to date browser (or turn off compatibility mode in
Internet Explorer). In the meantime, to ensure continued support, we are displaying the site without styles
and JavaScript.
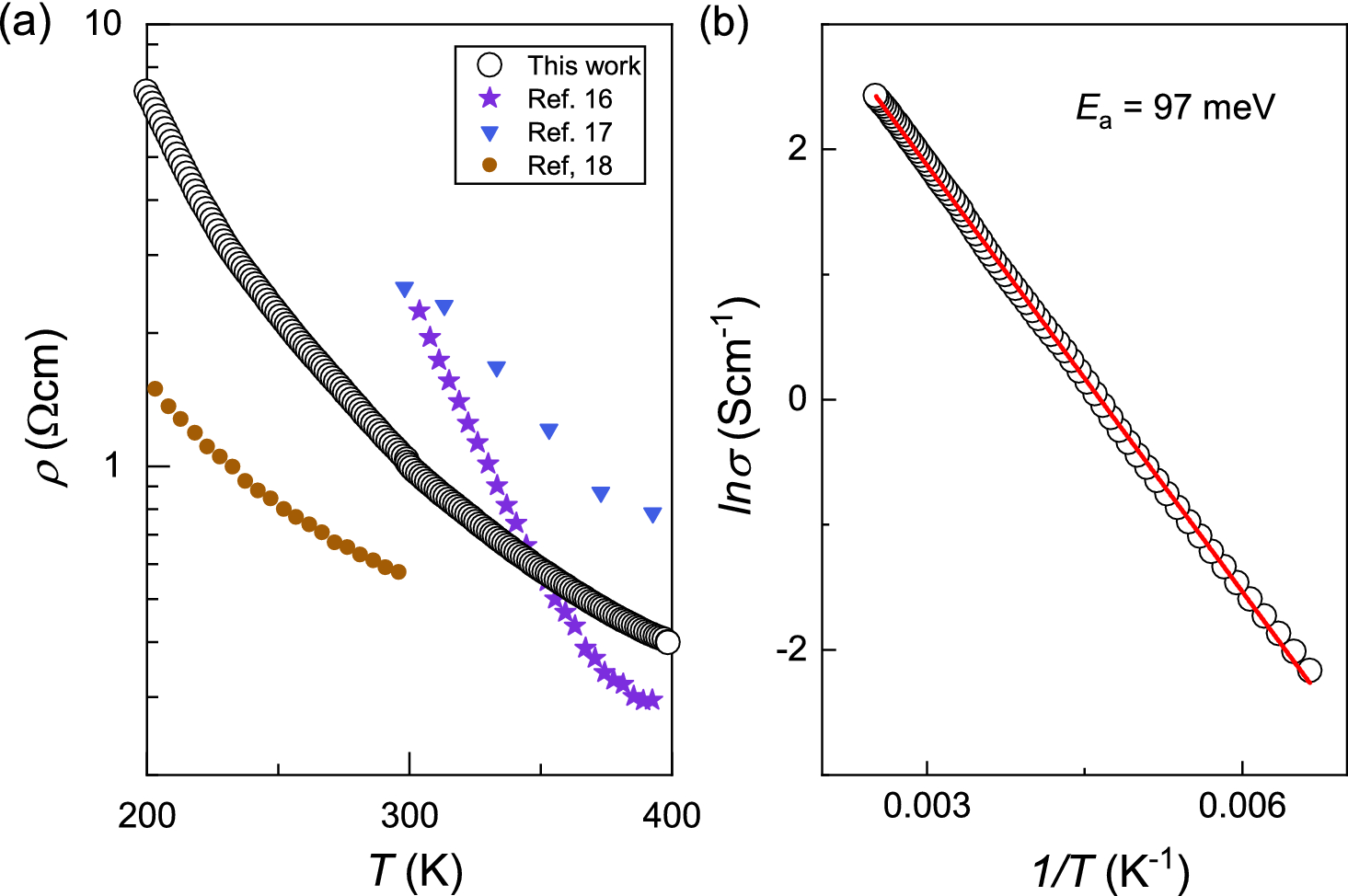
(a) Temperature dependence of dc resistivity of a CuCrO2 thin film, which is compared with films grown by various methods, including PLE16, magnetron sputtering17, and atomic layer deposition18. (b) ln σ vs. 1/T plots for CuCrO2 thin film, showing the activation energy of 97 meV.