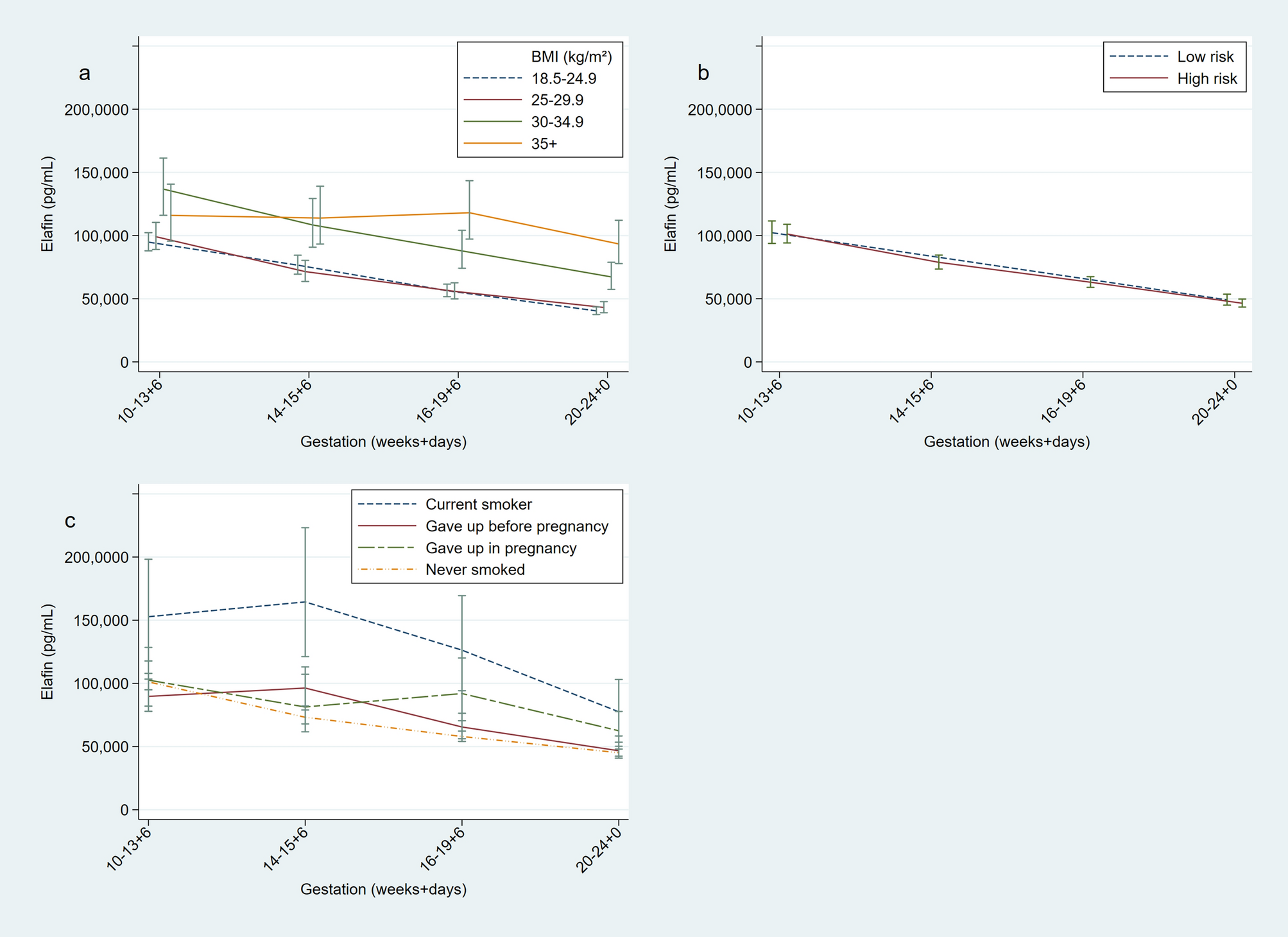
Figure 1

Longitudinal measurements of cervicovaginal concentrations of elafin measured by enzyme linked immunosorbent assay during pregnancy. Geometric means with standard error bars. (A) BMI < 24.9 (n = 303), BMI 25–29.9 (n = 163), BMI 30–34.9 (n = 68), BMI ≥ 35 (n = 48). (B) High risk women (n = 378), Low risk women (n = 207). (C) Current smoker (n = 28), ex-smoker, gave up before pregnancy (n = 95,), ex-smoker, gave up in pregnancy (n = 40), never smoked (n = 454). Figure prepared using StataCorp. 2015. Stata Statistical Software: Release 14. College Station, TX: StataCorp LP.