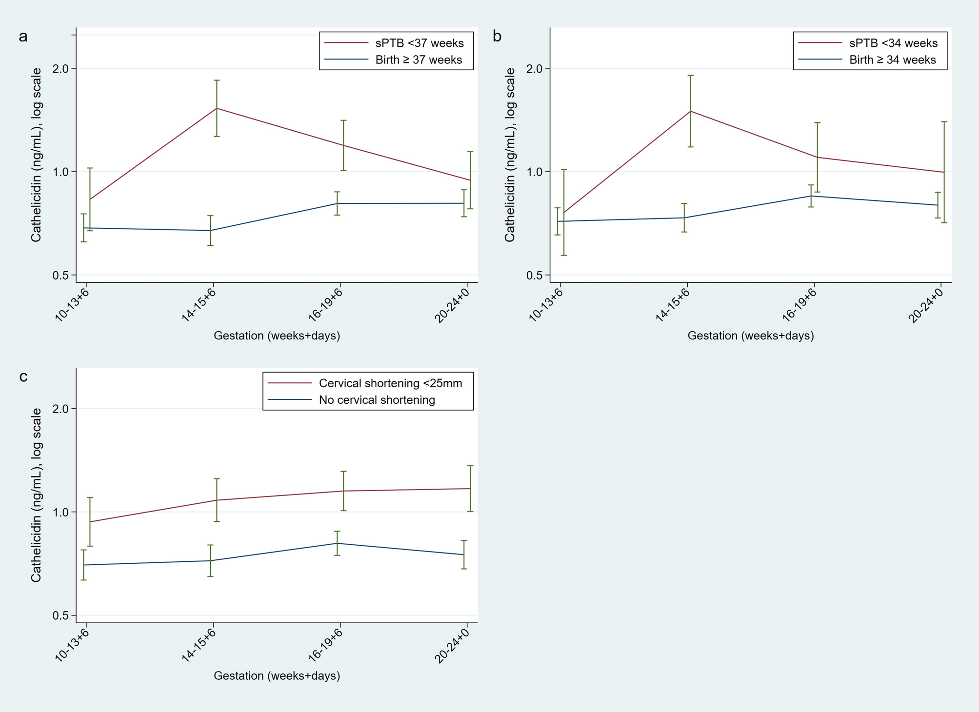
Figure 3

Longitudinal measurements of cervicovaginal cathelicidin concentrations in women at high risk of spontaneous preterm birth who deliver spontaneously prior to 34 weeks of gestation (n = 303 > 34 weeks and n = 36 < 34 weeks) (A) and prior to 37 weeks of gestation (n = 271 term, n = 68 preterm) (B) and women who subsequently develop a short cervix (n = 69 short, n = 254 not short) (C) Geometric means with SE bars. Figure prepared using StataCorp. 2015. Stata Statistical Software: Release 14. College Station, TX: StataCorp LP.