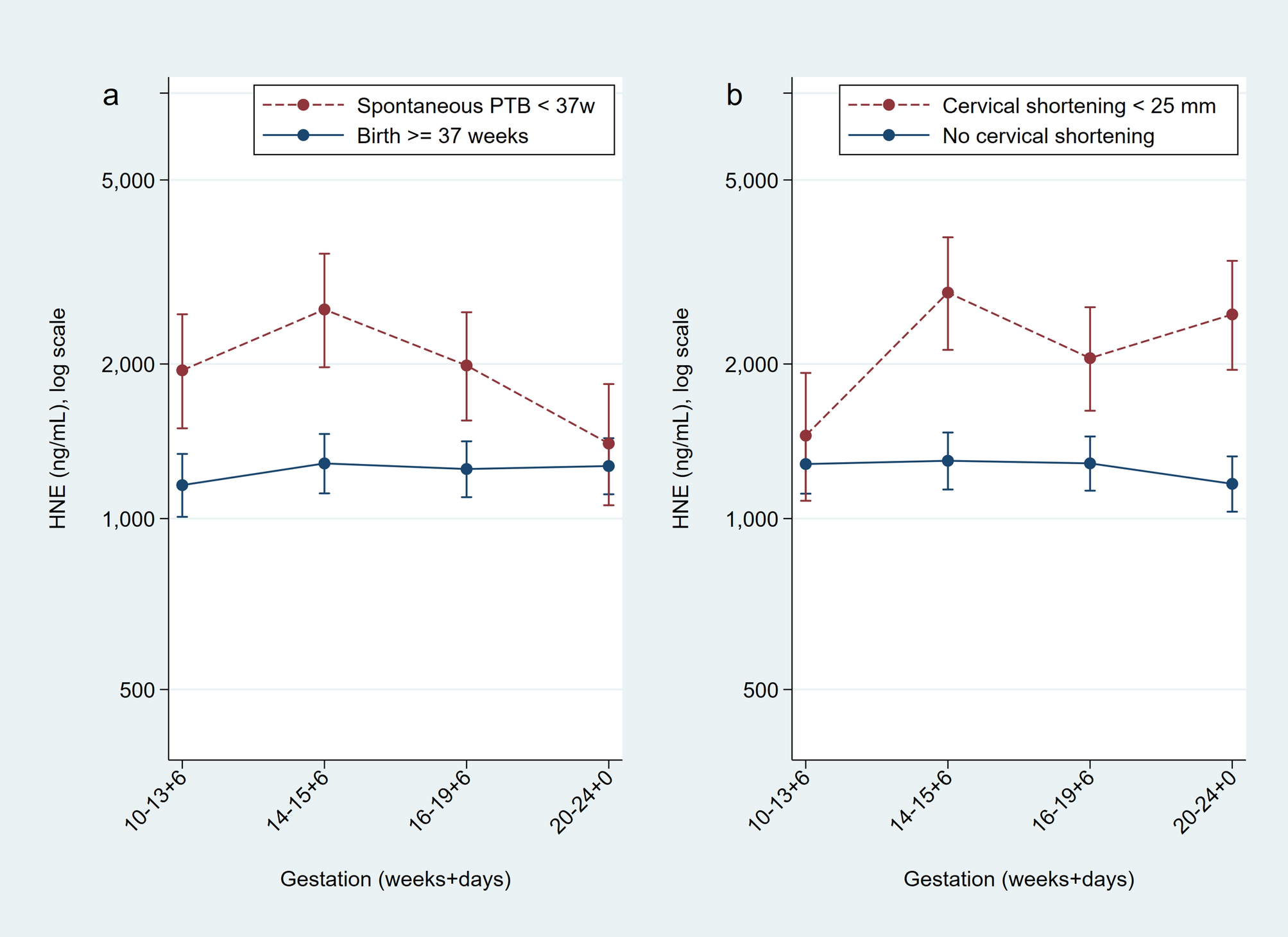
Figure 4

Longitudinal measurements of cervicovaginal HNE concentrations in women at high risk of spontaneous preterm birth who deliver spontaneously prior to 37 weeks of gestation (n = 281 term, n = 64 preterm) (A) and women who subsequently develop a short cervix (n = 62 short, n = 198 not short) (B). Geometric means and SE bars. Figure prepared using StataCorp. 2015. Stata Statistical Software: Release 14. College Station, TX: StataCorp LP.