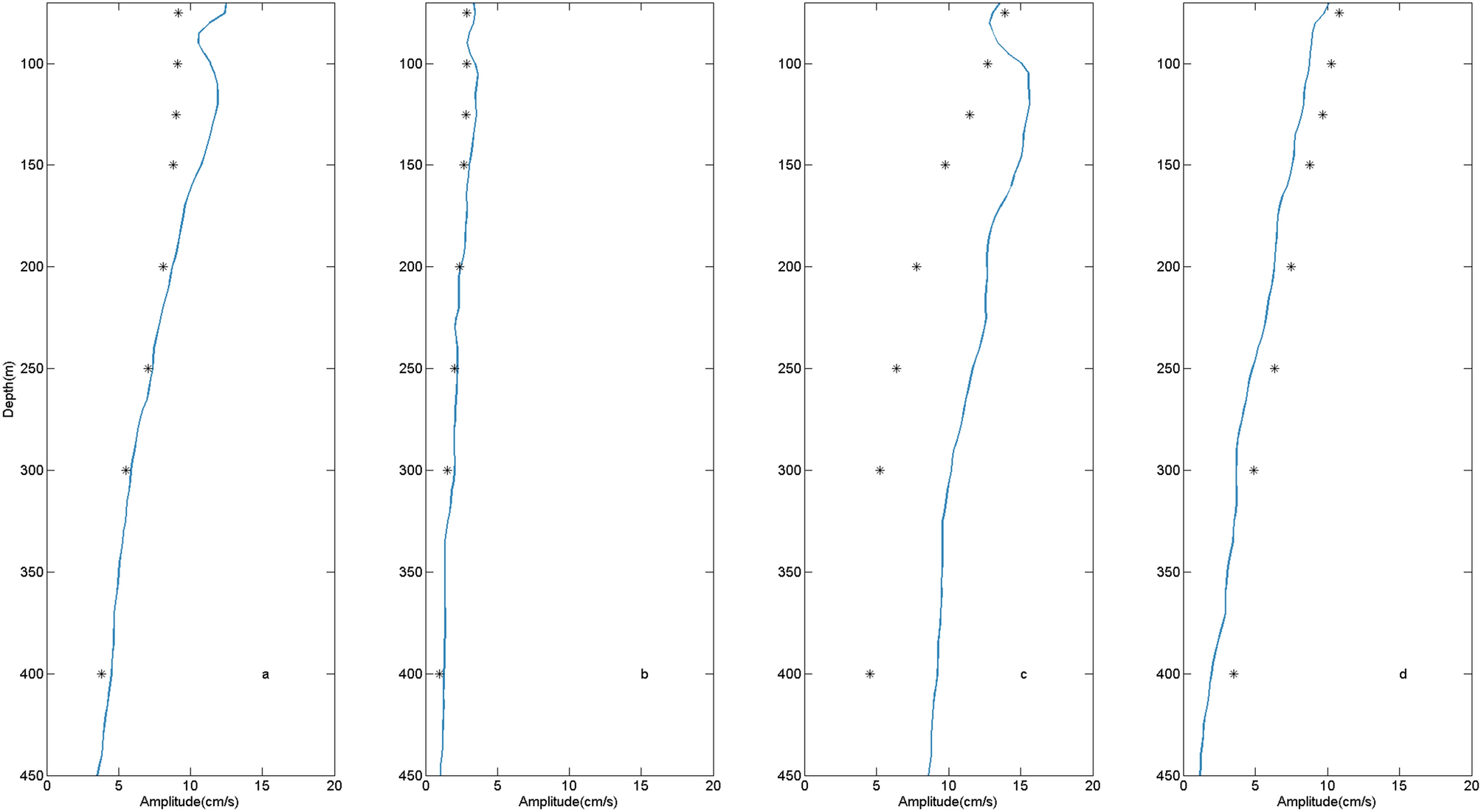
Figure 7
From: Variability of coherent and incoherent features of internal tides in the north South China Sea

Winter and summer runs averaged eastward baroclinic tidal amplitudes of simulations (black asterisk) as well as those of observations (blue line) at frequency of (a) M2 and (b) S2 (c) K1 and (d) O1 at the mooring site.