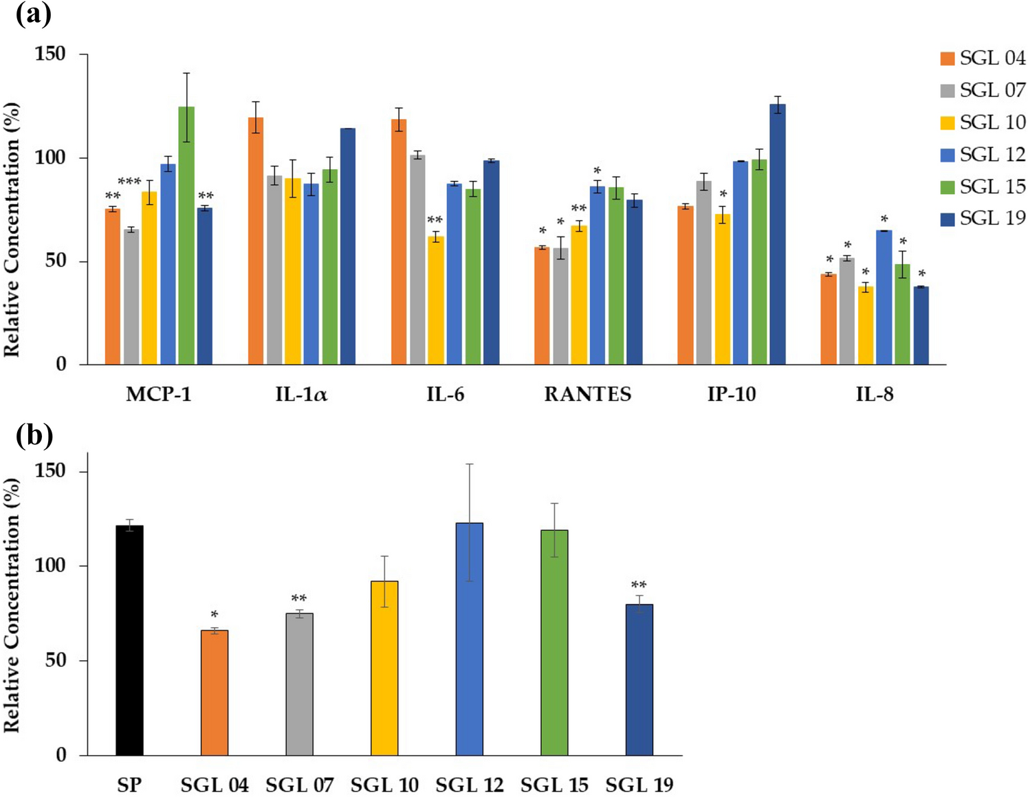
Figure 3

LAB lysates reduce the secretion of specific chemokines and cytokines from keratinocytes. (a) MCP-1, IL-1 alpha, IL-6, RANTES, IP-10 and IL-8 production in HaCaT cells exposed to different LAB measured by multiplexed ELISA assay. (b) MCP-1 secretion from HaCaT cells subjected to S. pyogenes (SP) stimulation and then exposed to different LAB. Relative concentration (%) was determined by dividing the average concentration of chemokine or cytokine in LAB-treated HaCaT cells by concentration in control (untreated HaCaT cells) × 100. Results are expressed as the mean ± SEM, ***p < 0.001, **p < 0.01, *p < 0.05.