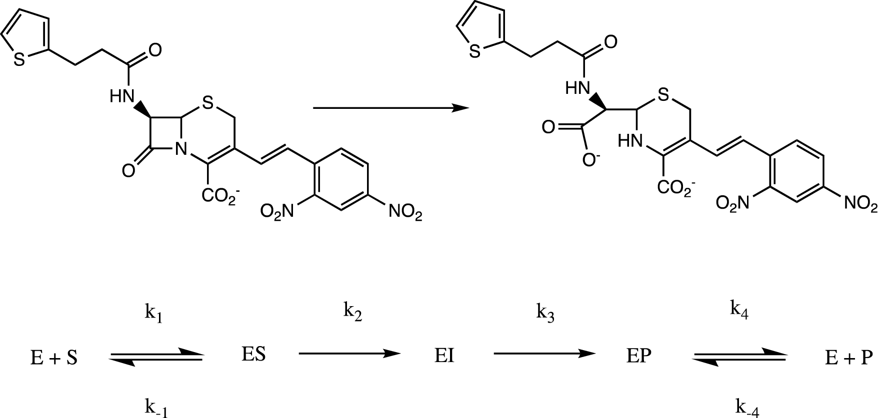
Scheme 1 | Scientific Reports