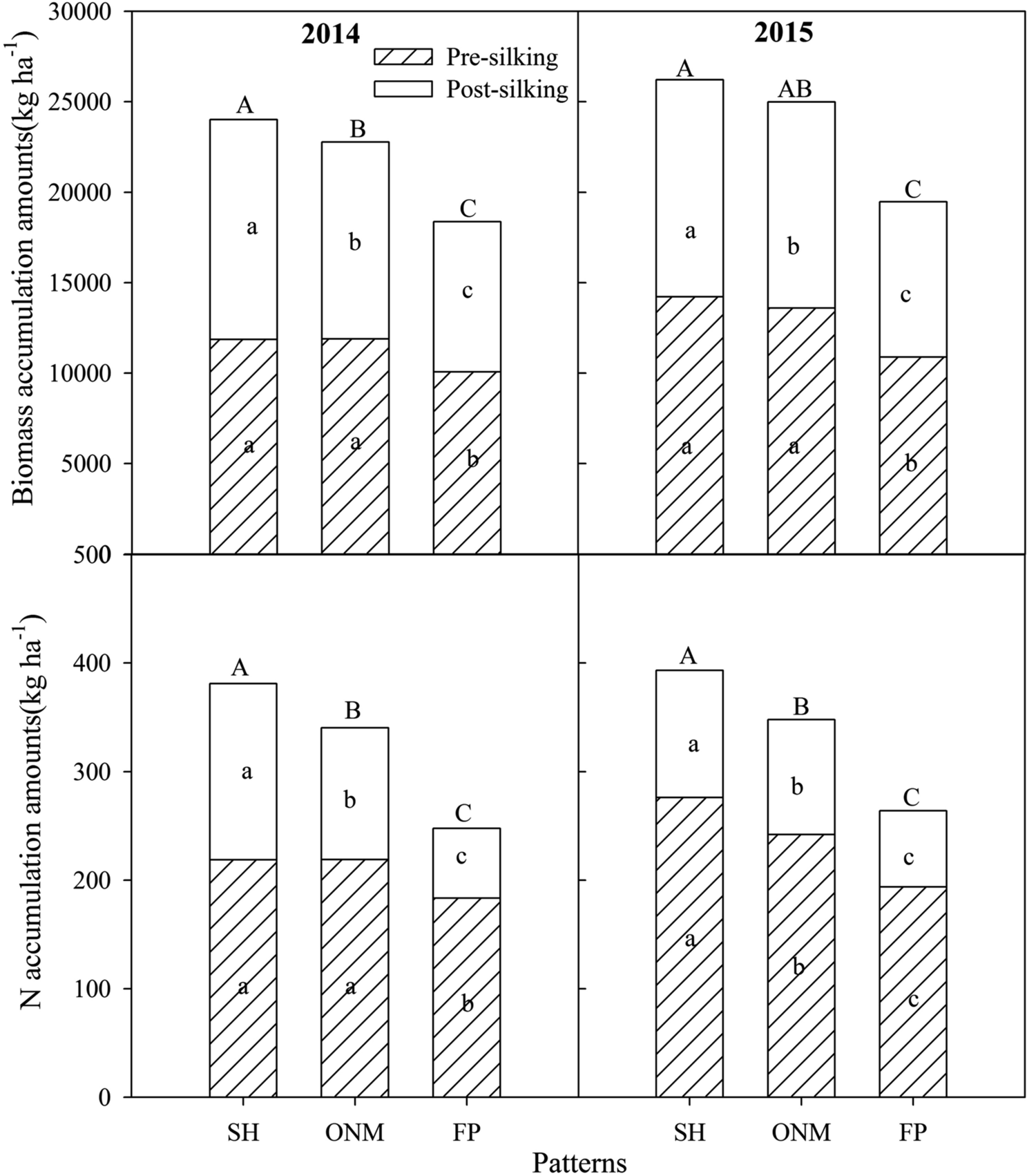
Figure 2

Biomass and N accumulation amounts and ratios in the pre-silking and post-silking stages under different cultivation patterns over two years (n = 12). SH, super high-yielding cultivation pattern; ONM, optimized nutrient management cultivation pattern; FP, local farmer's practice cultivation pattern. Different small letters indicate significant differences among biomass and N accumulation amount under different stage, and different capital letters indicate significant differences among biomass and N accumulation amount under whole growth stages (P < 0.05).