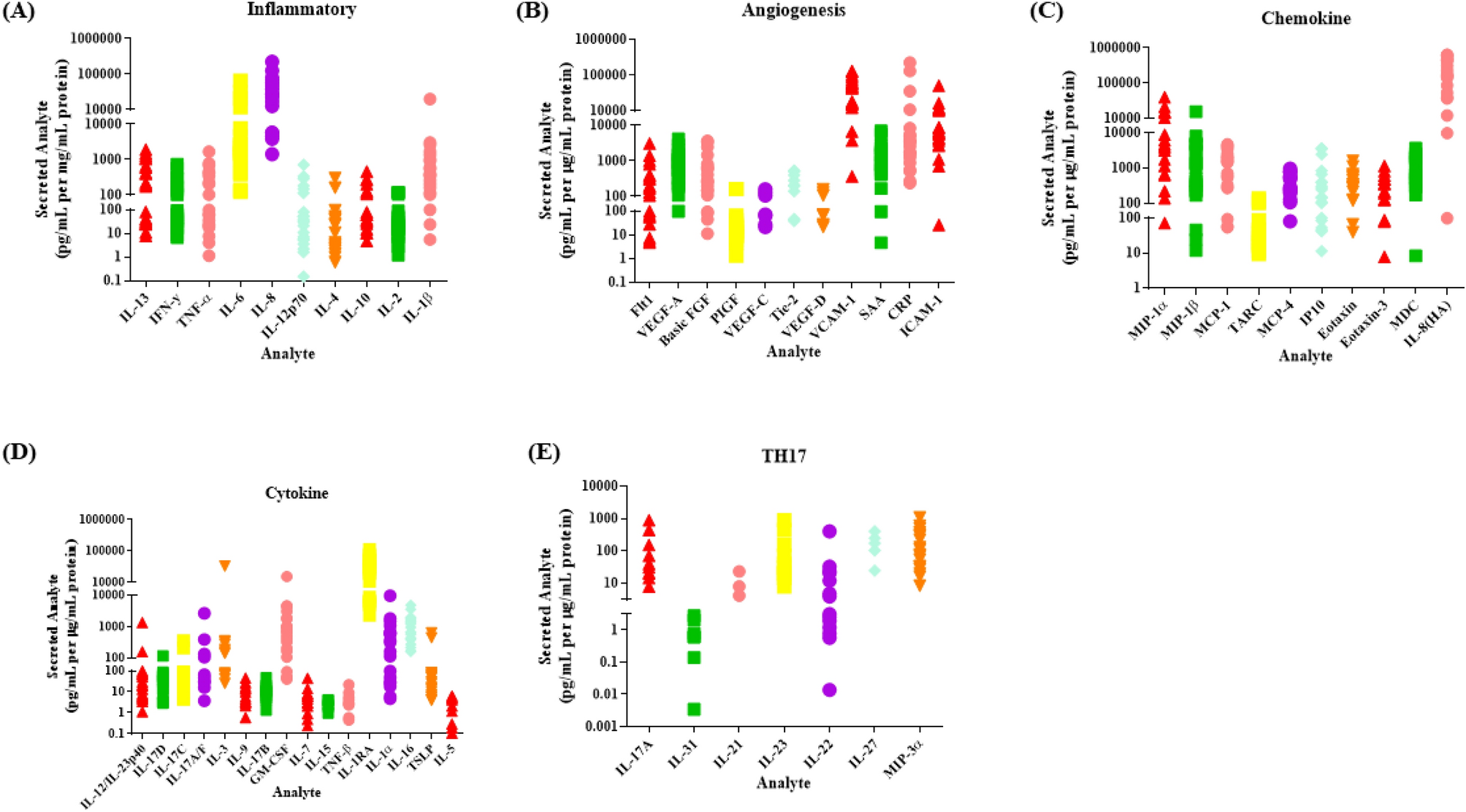
Figure 5

Secreted levels of 54 proteins from n = 22 OAC treatment-naïve biopsies cultured for 24 h were evaluated by multiplex ELISA. (A) Secreted levels of inflammatory proteins IL-13, IFN-γ, TNF-α, IL-6, IL-8, IL-12p70, IL-4, IL-10, IL-2 and IL-1β from OAC treatment-naïve biopsies. (B) Secreted levels of angiogenic and vascular injury proteins Flt1, VEGF-A, BasicFGF, PIGF, VEGF-C, TIE-2, VEGF-D, VCAM, SAA, CRP and ICAM from OAC treatment-naïve biopsies. (C) Secreted levels of chemokine proteins MIP-1α, MIP-1β, MCP, TARC, MCP-4 IP10, Eotaxin, Eotaxin-3, MDC, and IL-8(HA) from OAC treatment-naïve biopsies. (D) Secreted levels of cytokine proteins IL-12/IL-23p40, IL-17D, IL-17C, IL-17-A/F, IL-3, IL-9, IL-17B, GM-CSF, IL-7, IL-15, TNF-β, IL-1RA, IL-1α, IL-15, TSLP and IL-5 from OAC treatment-naïve biopsies. (E) Secreted levels TH17 pathway proteins IL-17A, IL-31, IL-21, IL-23, IL-22, IL-27 and MIP-3α from OAC treatment-naïve biopsies, (n = 22). Data normalised to protein content.