Figure 7
From: High frequency response of thick REBCO coated conductors in the framework of the FCC study

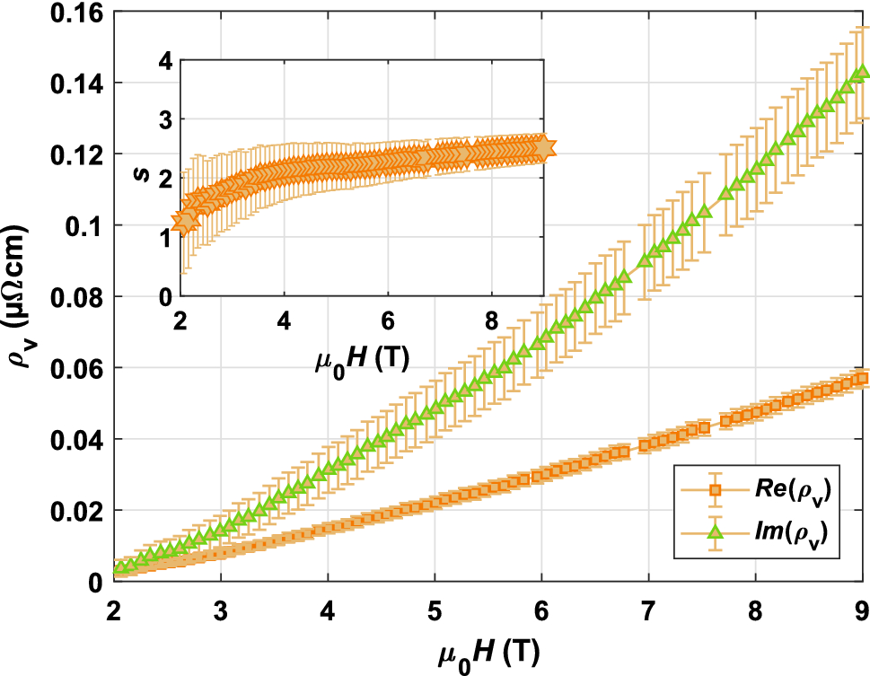
The complex vortex resistivity of the bottom surface of SuNAM as a function of applied magnetic field at \(T = {20}\,{\text {K}}\). The inset shows the corresponding ratio \(s = \frac{\text {Im}(\rho _{\text {v}})}{\text {Re}(\rho _{\text {v}})} = \frac{\nu _{0}}{\nu }\) as a function of magnetic field. The errors on \(\rho _{\text {v}}\) and s are propagated from errors on the surface resistance \(\Delta R_s\) and resonant frequency \(\nu\).