Figure 2
From: Pro-inflammatory properties of H-ferritin on human macrophages, ex vivo and in vitro observations

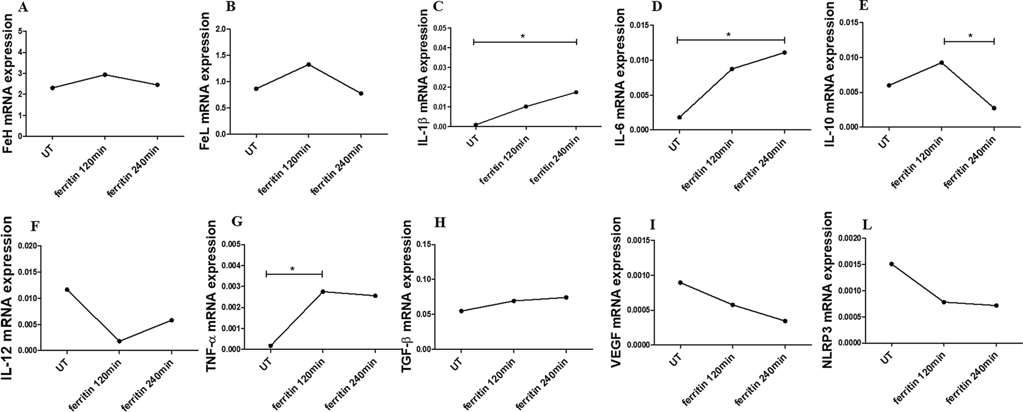
The effects of ferritin on gene expressions of macrophages. (A–L) qRT-PCR of FeH (A), FeL (B), IL-1β (C), IL-6 (D), IL-10 (E), IL-12 (F), TNF-α (G), TGF-β (H), VEGF (I), NLRP3 (L). The ferritin stimulation of macrophages, for both 120 and 240 min, does not change the gene expressions of FeH, FeL, IL-10, IL-12, TGF-β, VEGF and NLPR3. The gene expressions of IL-1β, IL-6 and TNF-α significantly increase following ferritin stimulation. Any single dot, in the figure, represents the median of triplicate experiments (* = p = 0.02).