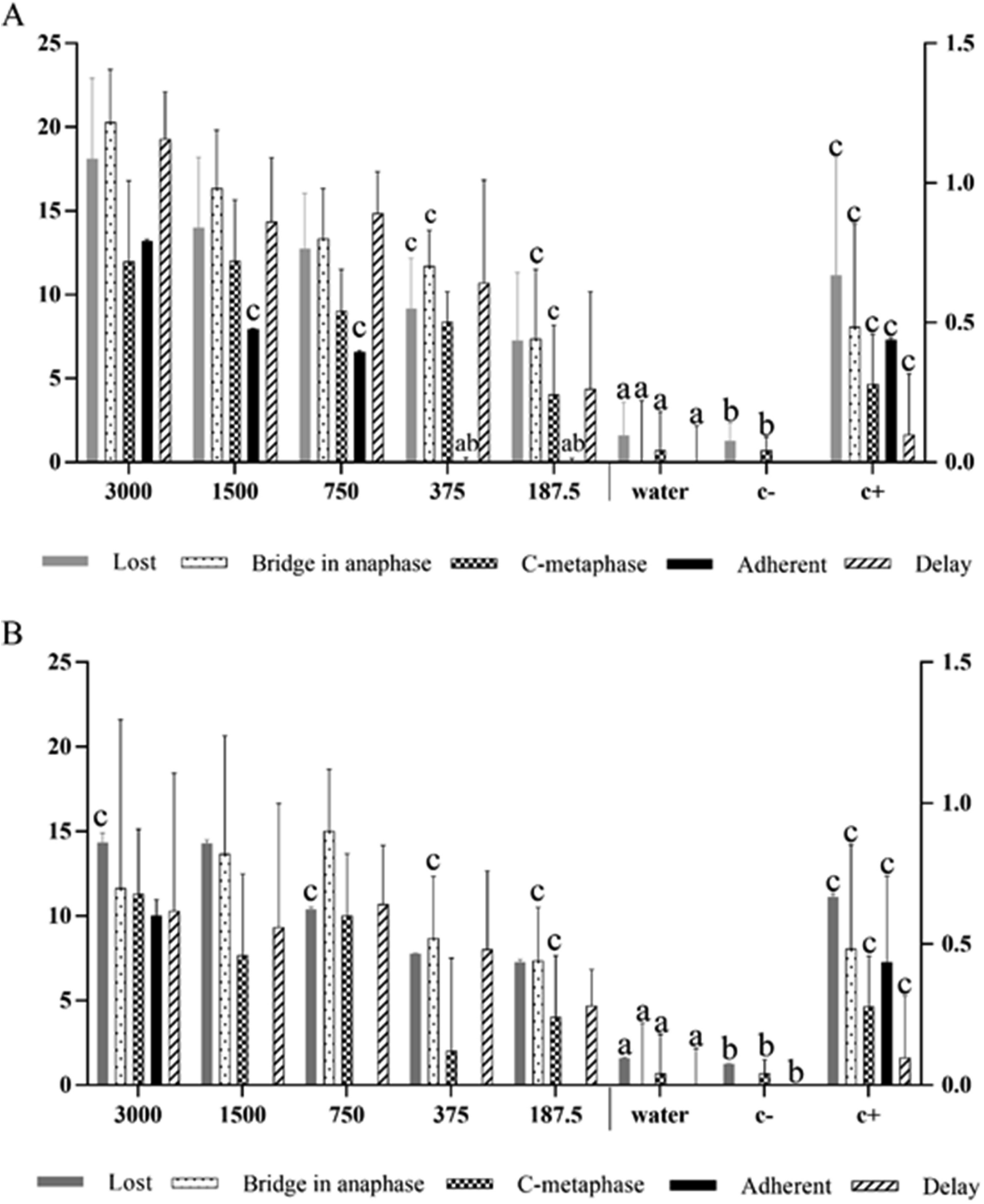
Figure 4

Chromosomal alterations found in L. Sativa root meristematic cells treated with the essential oils of (A) S. botocudorum and (B) S. tupiniquinorum, water (C −) , solvent (C −) or glyphosate (C +) . The means followed by the letter a equalled distilled water (C −); means followed by b equalled dichloromethane (DCM) (C −); and means followed by c equaled glyphosate (C +) . The five variables shown are lost chromosome, adherent chromosome, anaphase bridge, c-metaphase, and delay in anaphase. The numbers in the figure caption represent the concentrations (ppm) of the essential oils. The left y axis shows the values of lost and adherent chromosomes, and the right y axis refers to the values of anaphase bridge, c-metaphase and delay in anaphase, according to Dunnett’s test (p < 0.05) .