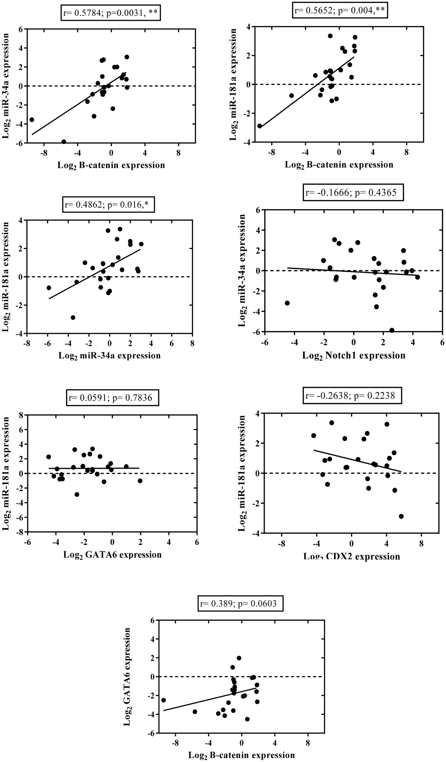
Figure 9

Correlation patterns of the genes expression in gastric cancer tissues were examined using quantitative RT-PCR. Curves exhibit the correlations between the expression levels of the genes in total gastric cancer tissues. Expression levels are given as Log2Fold Change (or −∆∆ Ct). R and P values were calculated by Spearmanʼs correlation method. * and ** indicate P < 0.05 and P < 0.01, respectively.