Figure 8
From: Preparation and characterization of TiO2 based on wood templates

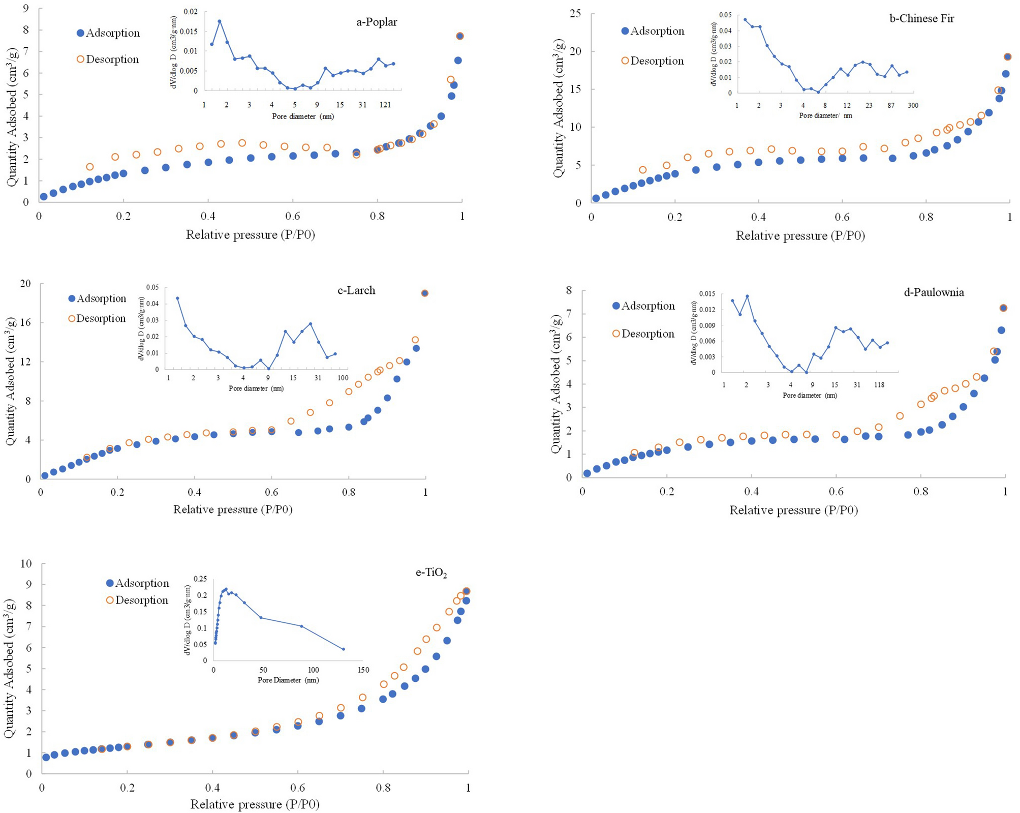
N2 adsorption/desorption isotherms of TiO2 prepared with different wood templates.
From: Preparation and characterization of TiO2 based on wood templates

N2 adsorption/desorption isotherms of TiO2 prepared with different wood templates.