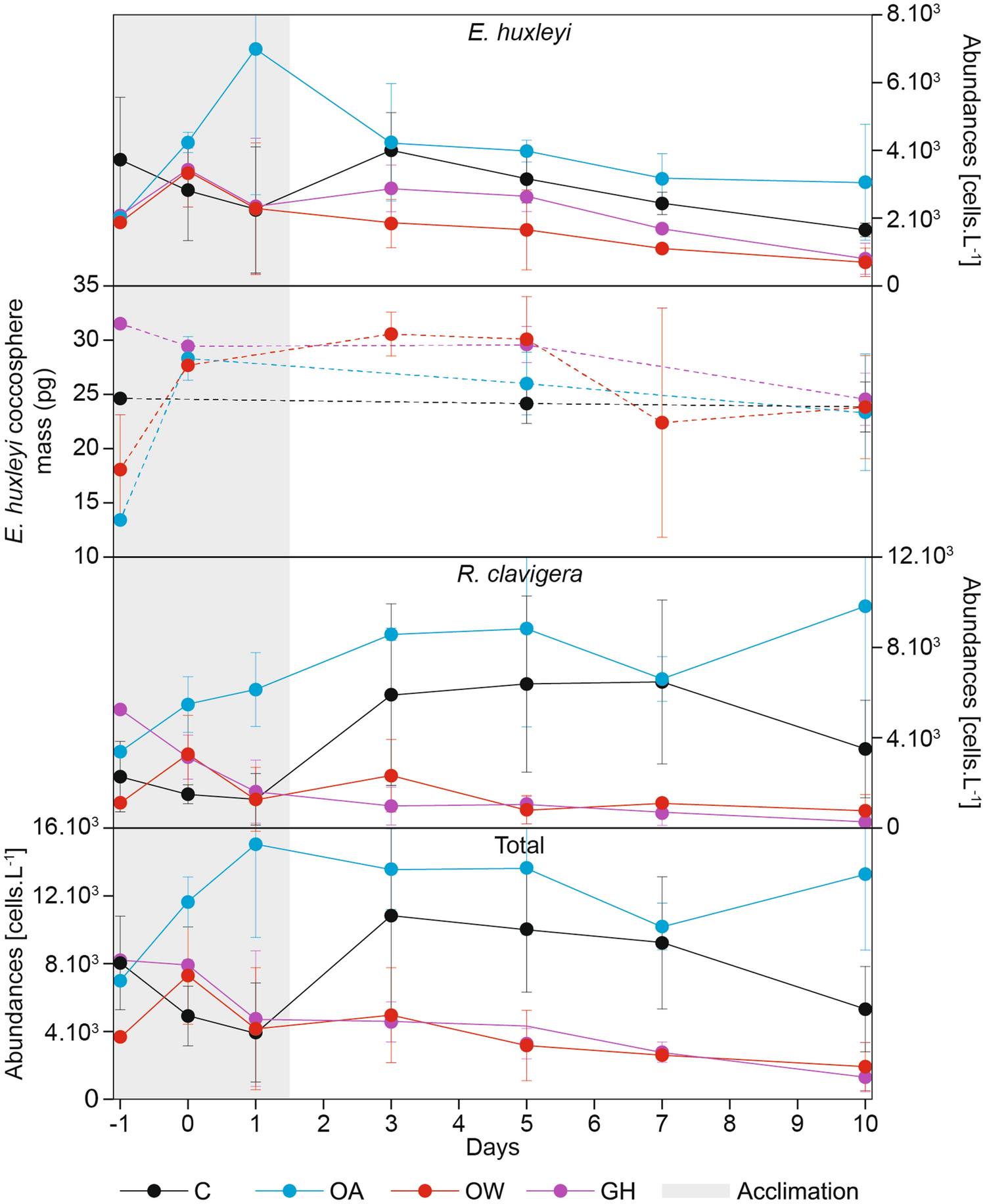
Figure 4

Coccolithophore absolute abundances: E. huxleyi (a), R. clavigera (c), and total coccolithophores (d). Average coccosphere calcite mass of E. huxleyi (b). The dots and the vertical bars indicate the average and standard deviation values, respectively.