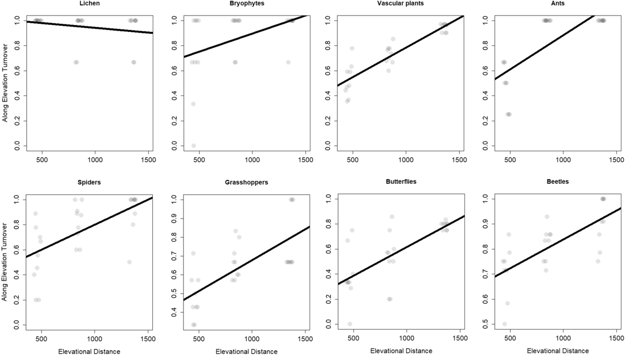
Figure 3

Along elevational turnover: the effect of elevational distance on turnover was tested with a linear mixed effects model. As fixed effects, we tested the elevational distance, as random effects the elevational replicate sites were modelled. The line indicates the response of turnover to elevational distance, grey points display turnover values of pair-wise comparisons. Figure was produced using R software (version 3.6.2, R Core Team, https://www.r-project.org/).