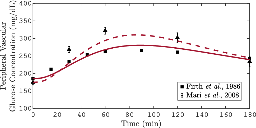
Figure 4

Simulation of 25 g and 75 g-OGTT. In this plot the solid and dashed lines represent the simulation of the blood glucose in the peripheral compartment of the T2DM model during a 25 g and 75 g-OGTT, respectively. The symbols represent the mean value of solute from the n subjects. Particularly, the triangles represent the mean ±SEM. The data for the 25 g and 75 g-OGTT were taken from Mari et al., and Firth et al., respectively.