Figure 3
From: Dissipation-induced bistability in the two-photon Dicke model

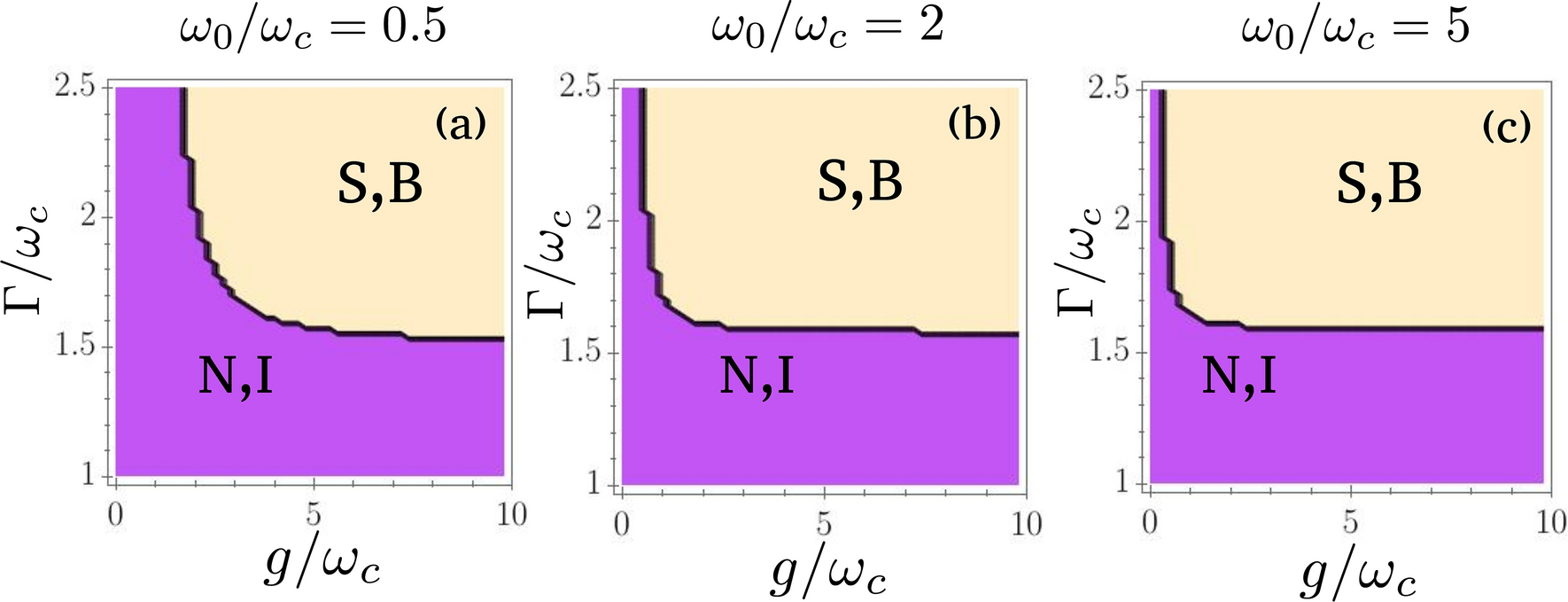
Stability of the superradiant phase versus coupling and dissipation. a)\(\omega _0/\omega _c=0.5\), b)\(\omega _0/\omega _c=2\), c)\(\omega _0/\omega _c=5\). For all plots, \(\kappa =\omega _c\) and \(N=100\) qubits. S,B: superradiant or bistable phase; N,I: normal phase or instability. Here we do not distinguish between the normal and the unstable phase or between superradiant and bistable phase because we want to focus on the stability of the superradiant phase only. Except for small values of \(\omega _0/\omega _c\) or g, the value of \(\Gamma /\omega _c\) for which the transition occurs is almost the same for all parameters, around 1.6. This means the phase diagram as a whole changes drastically when \(\Gamma\) goes across this value.