Figure 4
From: Dissipation-induced bistability in the two-photon Dicke model

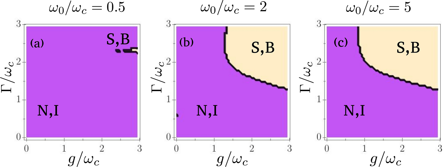
Stability of the superradiant phase versus qubit dephasing and decay. a)\(\omega _0/\omega _c=0.5\), b)\(\omega _0/\omega _c=2\), c)\(\omega _0/\omega _c=5\). For all plots, \(\kappa /\omega _c=1\), \(g/\omega _c=1\), and \(N=100\) qubits. S,B: stable or bistable phase, N,I: normal phase or instability. Here, both dephasing and decay contribute positively to the stabilization of the superradiant phase.