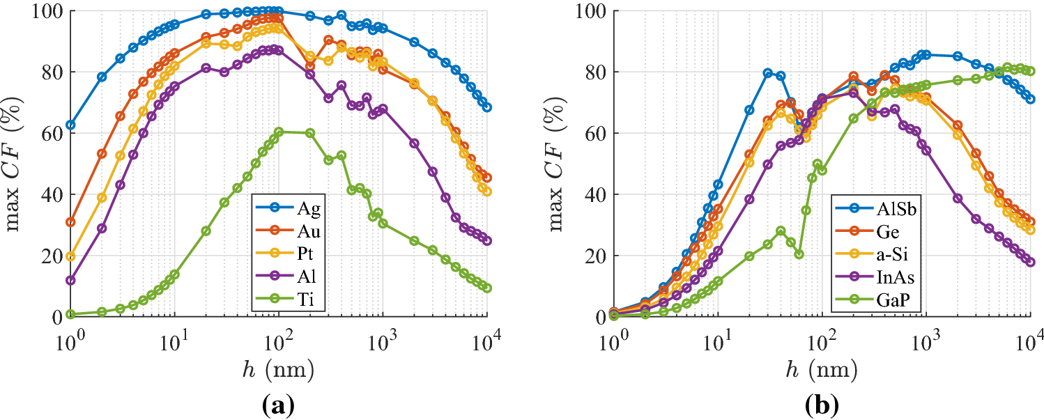
Figure 2
From: Uniaxial films of maximally controllable response under visible light

Maximal controllability factor CF as a function of the physical thickness of the examined film samples of Fig. 1a with respect to all tilt angles \(0^{\circ }<\varphi <80^{\circ }\) and all duty cycles \(0.05<r<0.95\). The material filling the multilayers is selected from a pool of several: (a) metals, (b) semiconductors.