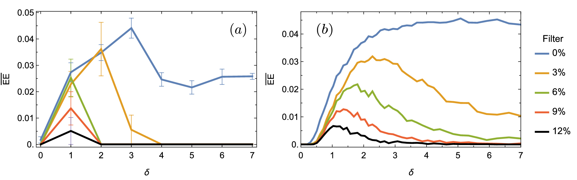
Figure 5

(a) Experimentally and (b) numerically averaged percentage of \({\overline{EE}}_{exp}\) versus parameter \(\delta\). In (a) bars indicate the standard deviation for all data. Numerics in (b) were performed for \(N=81\) sites, \(V_0=1.2 \, {\hbox {cm}}^{-1}\), and \(z_{max}=10\) cm. Different colors indicate different data filters as described in figure.