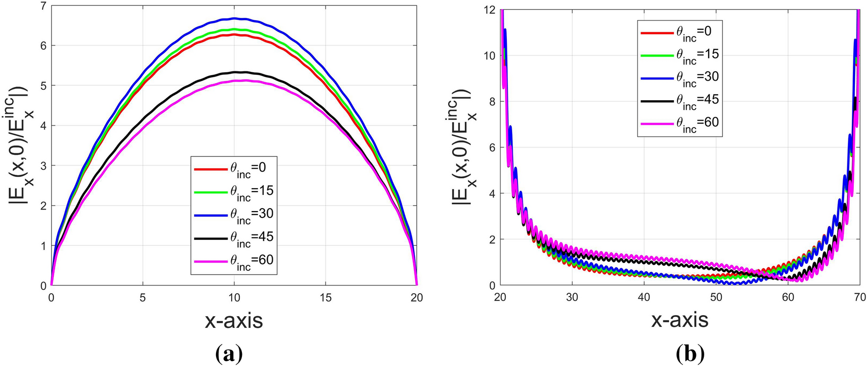
Figure 6

Distribution of normalized \(E_x\) on the graphene grating surface in a unit cell for various incident angles with the operating frequency 2.6 THz: (a) \(|E_x(x,z=0)/E^{inc}_x|\) on graphene strip, and (b) \(|E_x(x,z=0)/E^{inc}_x|\) over slit.