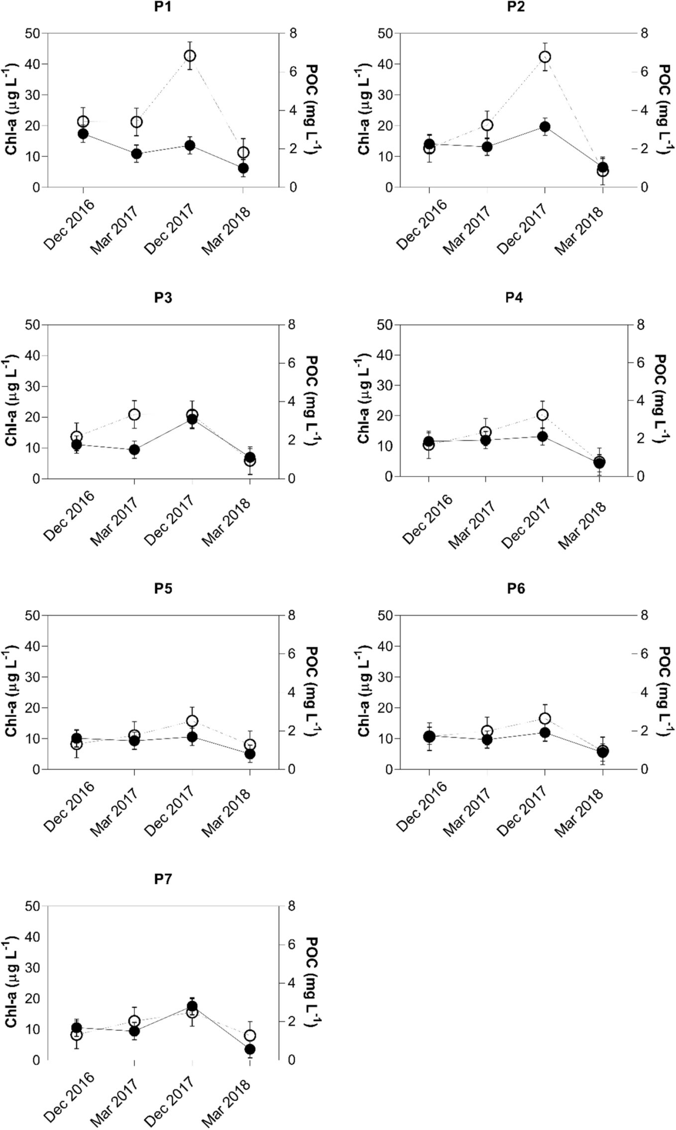
Figure 2

Concentration patterns of chl-a (white symbols, left axis) and POC (black symbols, right axis) at the seven sampling locations in the Itupararanga Reservoir. Samples presented in this graph were only collected in the top 3 m of the water column. Error bars represent 1σ standard deviations as determined from selected triplicate analyses.