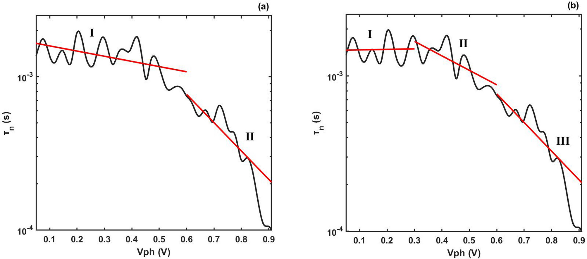
Figure 2
From: Extraction technique of trap states based on transient photo-voltage measurement

Plots of carrier lifetime versus photo-voltage given by TPV measurement47. The black lines represent the result of TPV measurement. The red lines represent linear fitting in the subintervals. (a) shows the linear fittings of TPV in two subintervals, respectively. (b) shows the linear fittings of TPV in three subintervals, respectively.