Figure 5
From: Extraction technique of trap states based on transient photo-voltage measurement

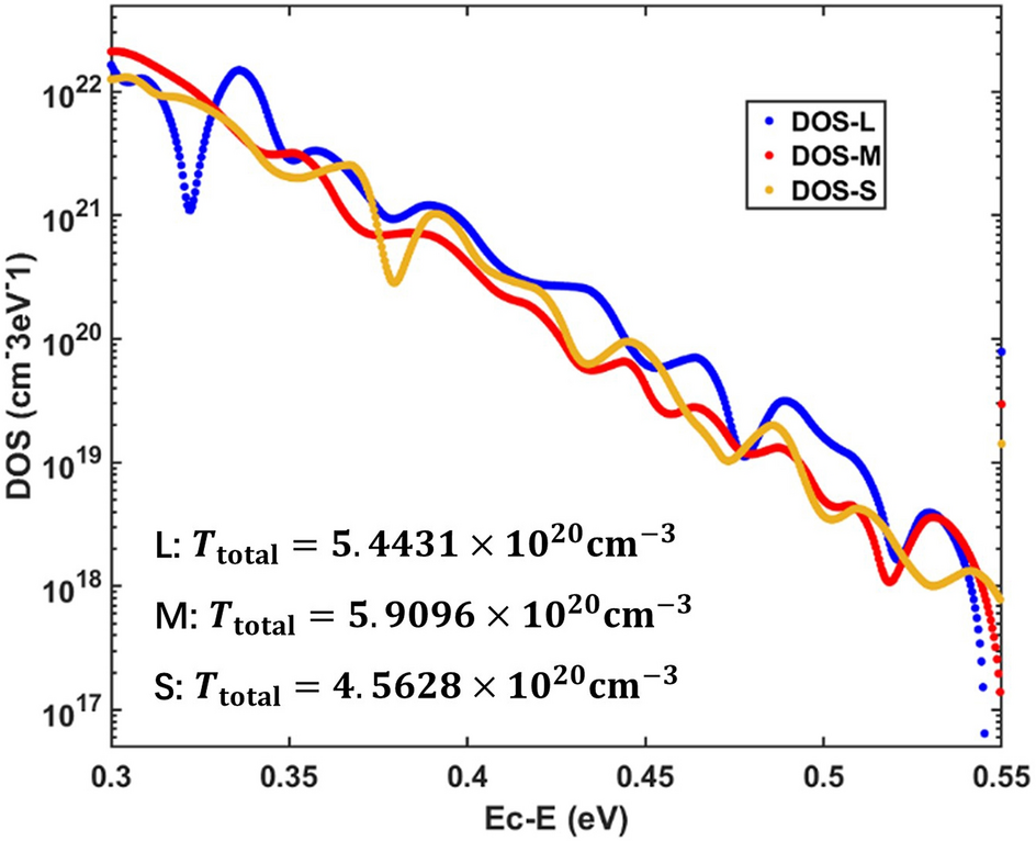
DOST distributions for meso-structured perovskite solar cells with large, middle and small size of perovskite grain extracted by our method given in this paper.