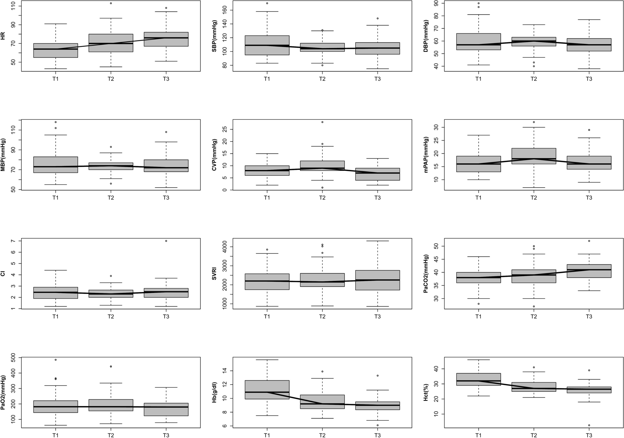
Figure 2

Intraoperative and haemodynamic findings. T1, after anaesthesia induction. T2, after left internal mammary artery (LIMA) to left anterior descending artery (LAD) anastomosis. T3, before sternal closure. HR heart rate, SBP systolic blood pressure, DBP diastolic blood pressure, MBP mean blood pressure, CVP central venous pressure, mPAP mean pulmonary artery pressure, CI cardiac index, SVRI systemic vascular resistance index, PaCO2 partial pressure of carbon dioxide, PaO2 partial pressure of oxygen, Hb haemoglobin, Hct haematocrit.