Figure 4
From: Rapid prototyping of 3D Organic Electrochemical Transistors by composite photocurable resin

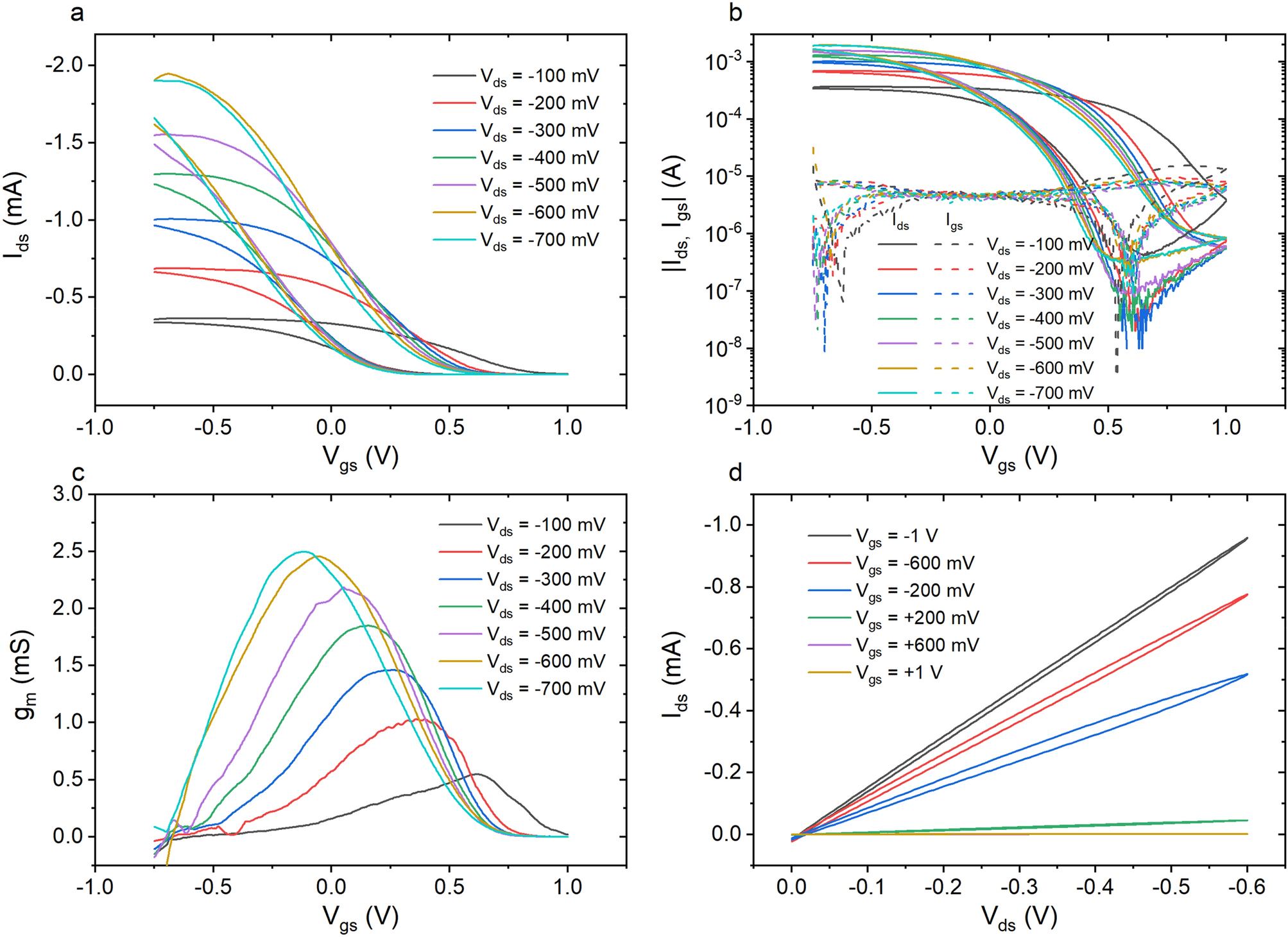
(a) Transfer curve measured at different Vds; (b) logarithmic plot of transfer curve (solid lines) and gate leakage current (dashed lines); (c) transconductance curve obtained for Vgs scanned from -0.75 V to + 1 V; (d) output characteristics of the device.