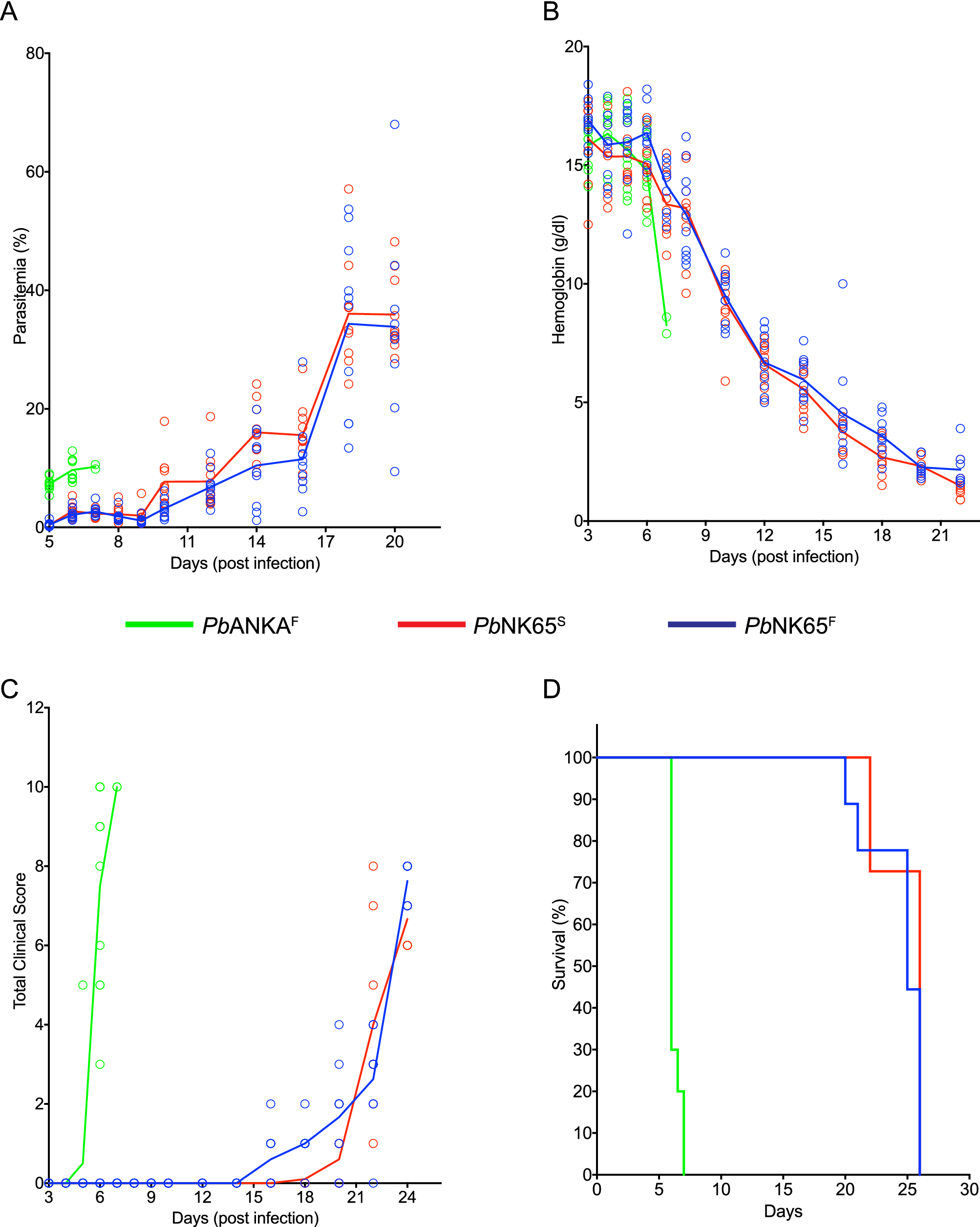
Figure 1

S1823F mutation in ApiAP2 TF of PbNK65 does not alter the progression of infection. (A–D) C57BL/6 mice were inoculated intraperitoneally with WT PbANKAF-, WT PbNK65S- and mutant PbNK65 F iRBCs (106/mouse). Peripheral parasitemia given as percent of RBC that are infected (A), hemoglobin levels (g/dl) (B), clinical symptoms measured by evaluating motor abilities based on a 10 point scale (higher scores correspond more advanced disease) outlined in methods (C), and survival (D) are shown for each group with time (days) post infection. Each circle in (A–C) represents an individual mouse and lines represent mean values. Data is representative of three independent experiments each carried out with at least 10 mice per group.