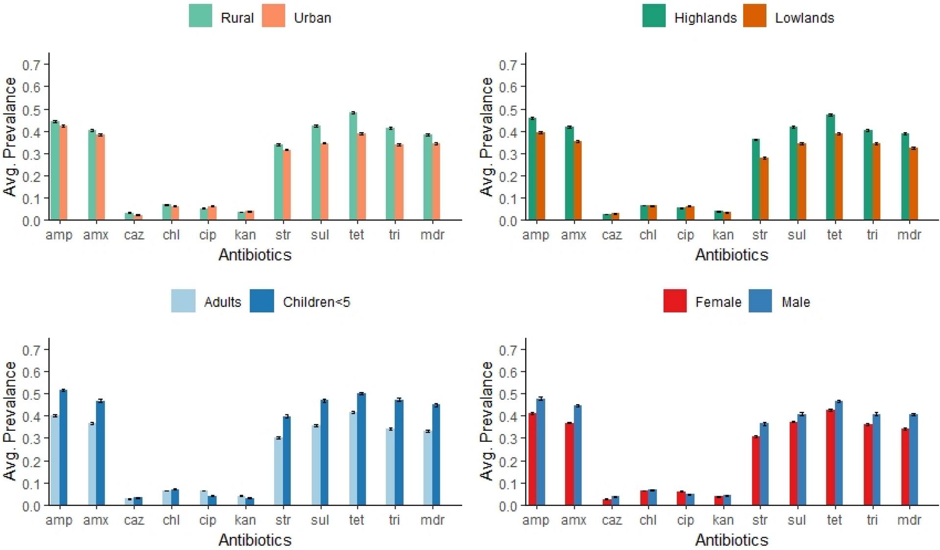
Figure 2

Mean (+ standard error) of antimicrobial resistant bacteria isolated from fecal samples collected from different locations, ages, and gender. Coatepeque and San Juan Ostuncalco, 2017–2018. Antibiotics included amp (ampicillin), amx (amoxicillin), caz (ceftazidime), chl (chloramphenicol), cip, (ciprofloxacin) and kan (kanamycin), str, (streptomycin), sul (sulfamethoxazole), tet (tetracycline), tri (trimethoprim). MDR indicates resistance to three or more classes of antibiotics. Standard errors account for within subject correlation.