Figure 1
From: Haptoglobin polymorphisms in Latin American populations

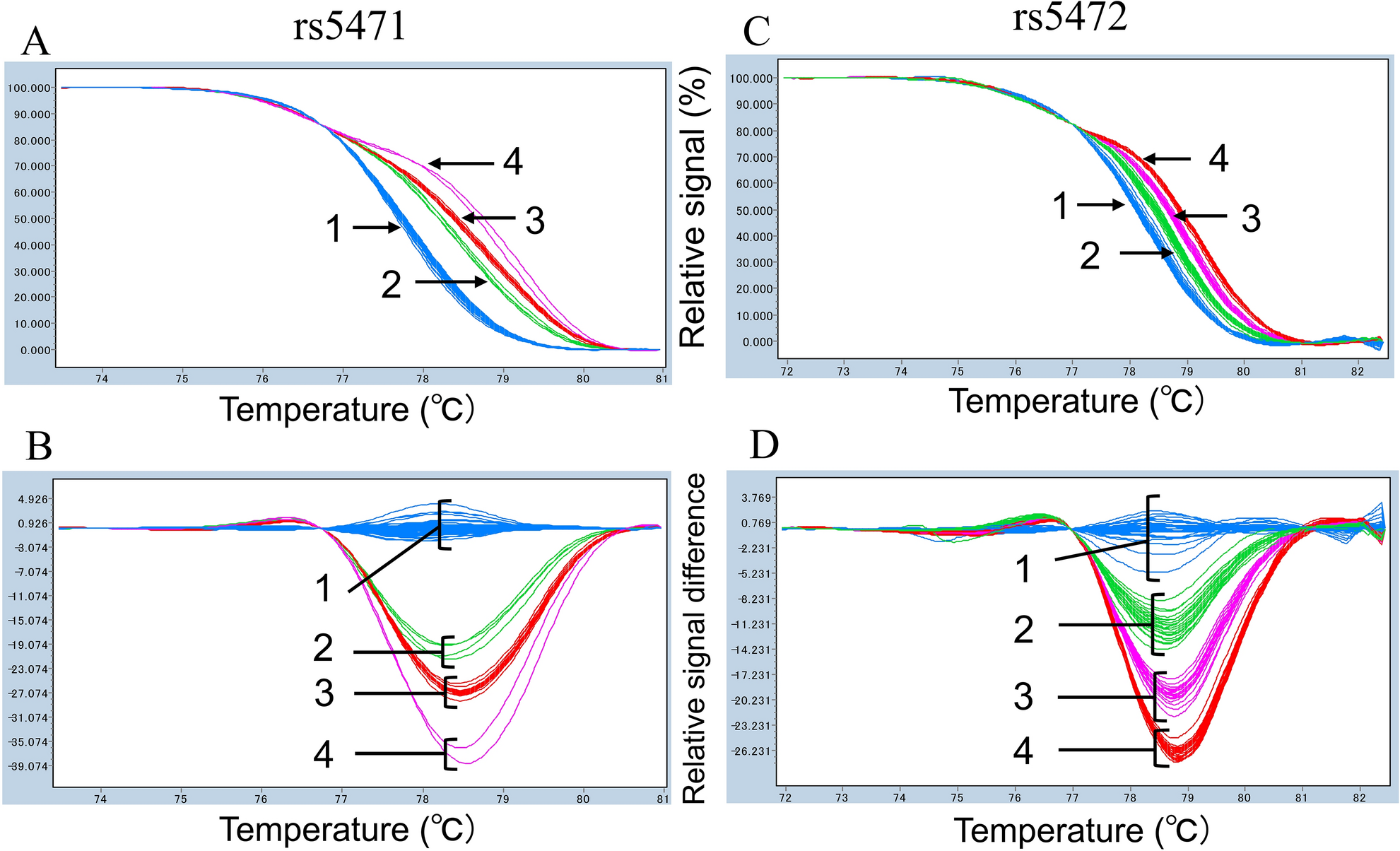
Real-time PCR and HRM analysis of HP promoter polymorphisms. Typical results of amplicon for rs5471 and amplicon for rs5472 on Ghanaians (nā=ā95) are shown. Normalized and temperature-shifted melting curves of amplicons for rs5471 (A) and rs5472 (C) and normalized and temperature-shifted difference plots for rs5471 (B) and rs5472 (D).