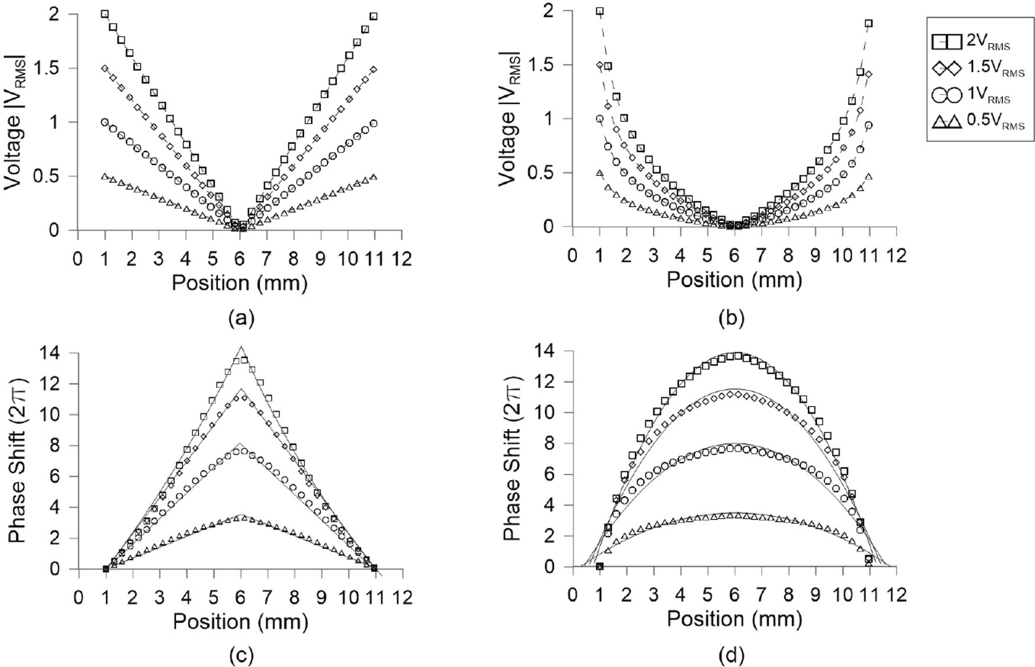
Figure 3

Calculated voltage profile along the top transmission electrode for the case of (a) constant and (b) increasing and amplitudes \(A_3=A_4\). Optical phase spatial modulation for light propagating through the LC cell (\(\lambda =632.8\) nm) for the investigated cases of (c) constant and (d) increasing. The dashed lines in (a) and (b) serve as guide to the eye, whereas the continuous lines in (c) and (d) are linear and parabolic fits, respectively.