Figure 3
From: Promotional effect of magnesium oxide for a stable nickel-based catalyst in dry reforming of methane

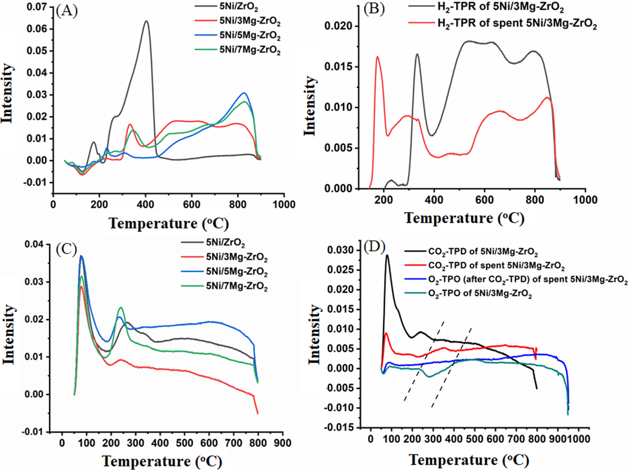
(A) The H2-TPR profile of 5Ni/xMg-ZrO2, (B) the H2-TPR profile of fresh and spent 5Ni/3Mg-ZrO2, (C) the CO2-TPD surface reduction profile of 5Ni/xMg-ZrO2, (D) CO2-TPD and O2-TPO TPD profile of fresh and spent 5Ni/3Mg-ZrO2 catalyst.