Figure 4
From: Promotional effect of magnesium oxide for a stable nickel-based catalyst in dry reforming of methane

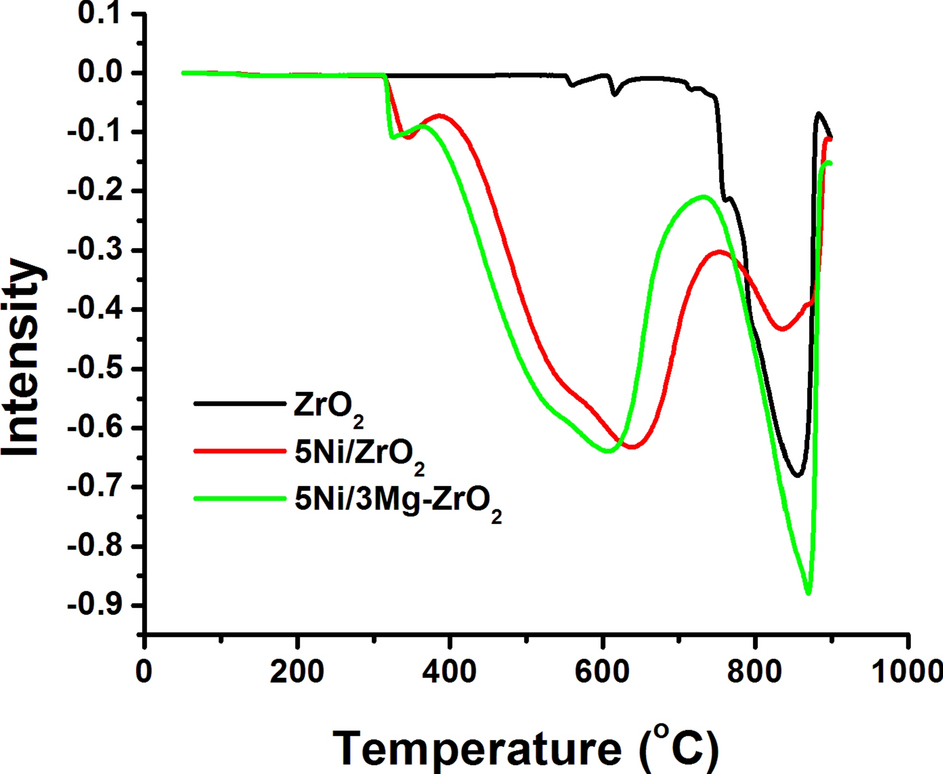
CH4-TPSR profile of catalysts.
From: Promotional effect of magnesium oxide for a stable nickel-based catalyst in dry reforming of methane

CH4-TPSR profile of catalysts.