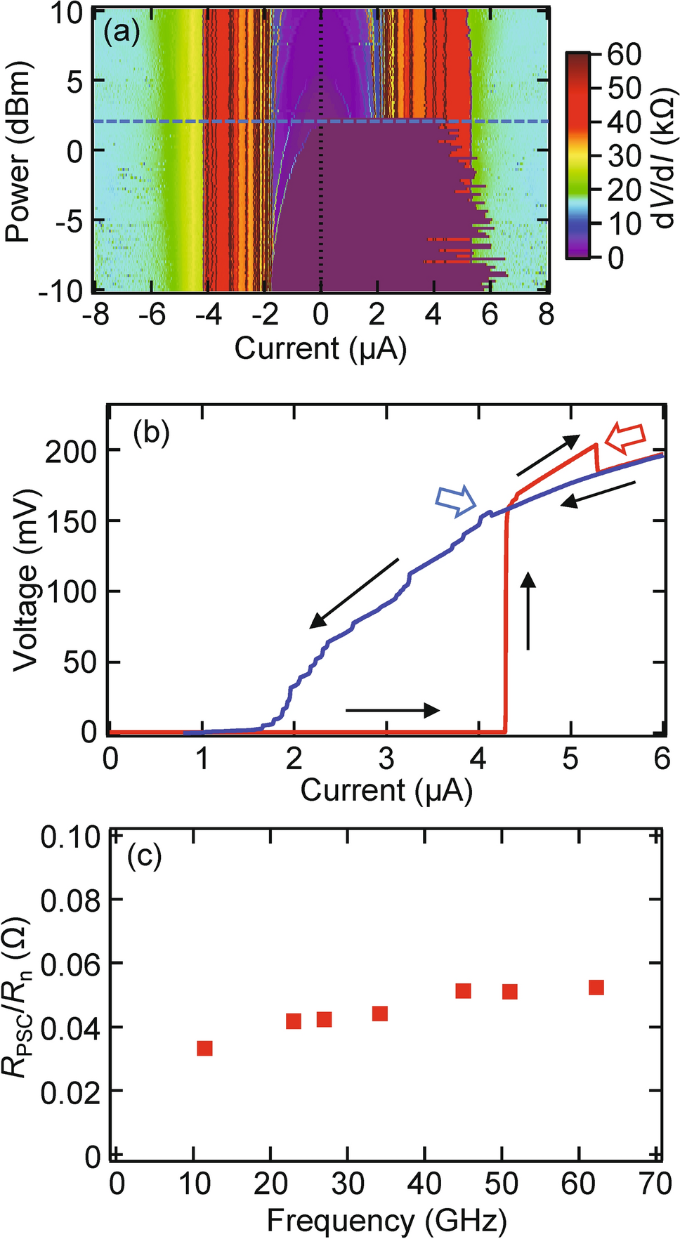
Figure 4

PSC control by MW irradiation in LscNW. (a) Mapping of dV/dI for LscNW as a function of the bias current I and MW power P at f = 26.57 GHz and T = 1.65 K. The blue broken line indicates MW power of P = 2.2 dBm used in (b). (b) I–V characteristics for LscNW at P = 2.2 dBm indicated by the blue broken line in (a). Open arrows show excess voltages. (c) Frequency dependence of RPSC (differential resistance of the PSC slightly above Pc, as defined in Ref.23).