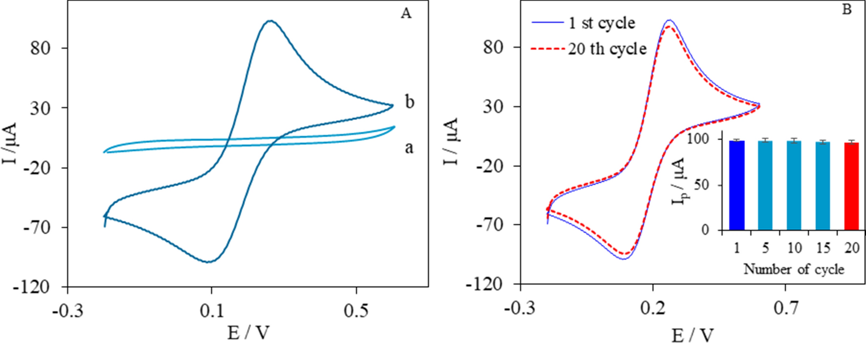
Figure 2

(A) CVs of ePAD in the absence (a) and presence (b) of 1.0 mM Fe(CN)3−/4− containing 0.1 M KCl at a scan rate of 100 mV s−1. (B) 1st cycle and the 20th cycle of ePAD in 1.0 mM Fe(CN)3−/4− containing 0.1 M KCl at a scan rate of 100 mV s−1.

(A) CVs of ePAD in the absence (a) and presence (b) of 1.0 mM Fe(CN)3−/4− containing 0.1 M KCl at a scan rate of 100 mV s−1. (B) 1st cycle and the 20th cycle of ePAD in 1.0 mM Fe(CN)3−/4− containing 0.1 M KCl at a scan rate of 100 mV s−1.