Figure 4

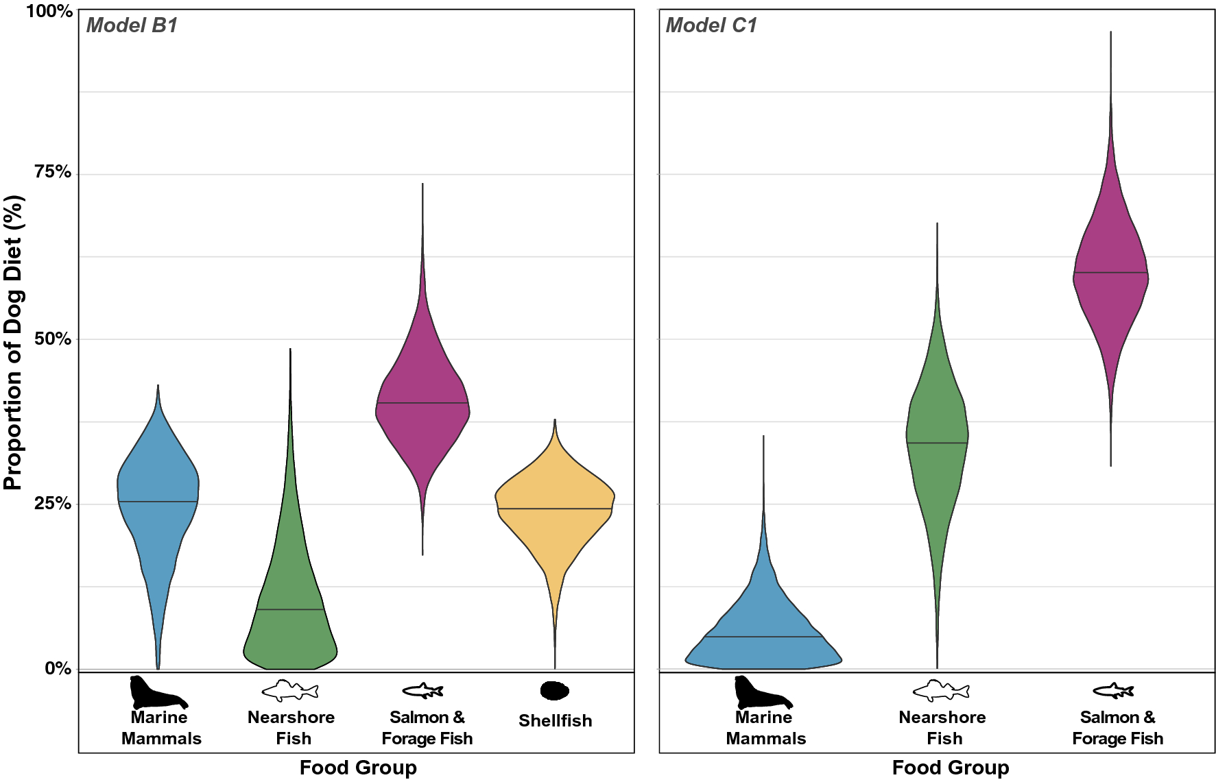
Violin plots representing dietary model estimates for Tseshaht dogs (n=14) as represented by model B1 (left) and model C1 (right) with horizontal lines indicating median (50%) probabilities (see Table 1).

Violin plots representing dietary model estimates for Tseshaht dogs (n=14) as represented by model B1 (left) and model C1 (right) with horizontal lines indicating median (50%) probabilities (see Table 1).