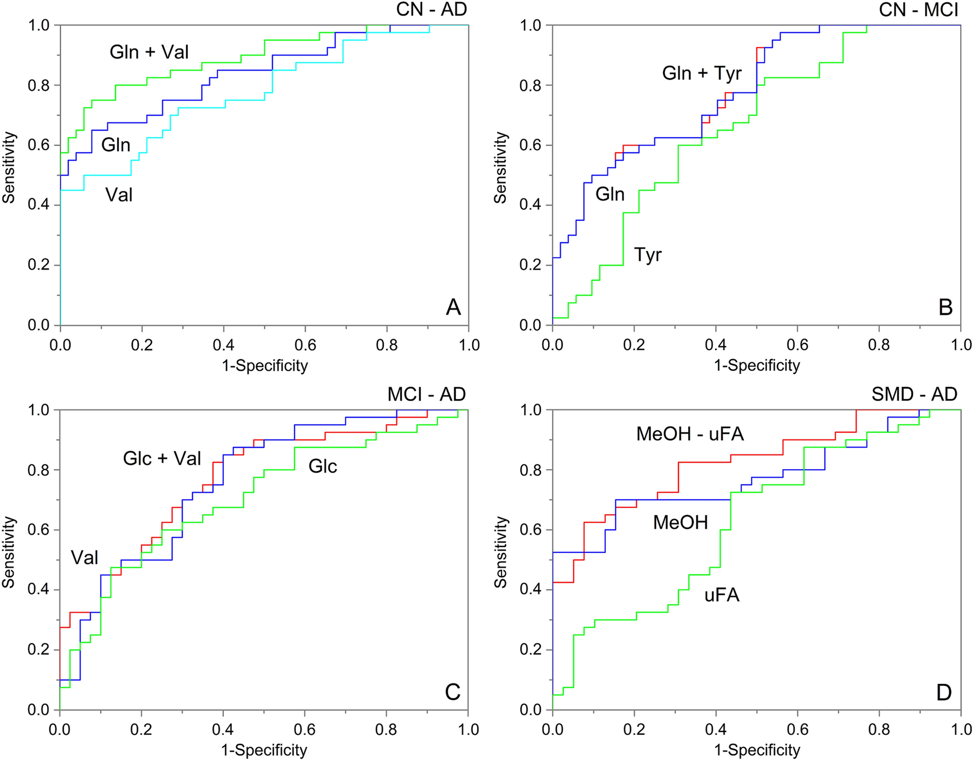
Figure 5

Simple and multiple logistic regressions of selected variables for each discriminating model: (A), CN vs. AD; (B), CN vs. MCI; (C), MCI vs. AD; (D), SMD vs. AD. Receiver operating characteristic (ROC) curve and the corresponding area under the ROC curve (AUC) of each classifier are reported together with the Student’s t-test applied on the normalized buckets concentration.