Figure 5

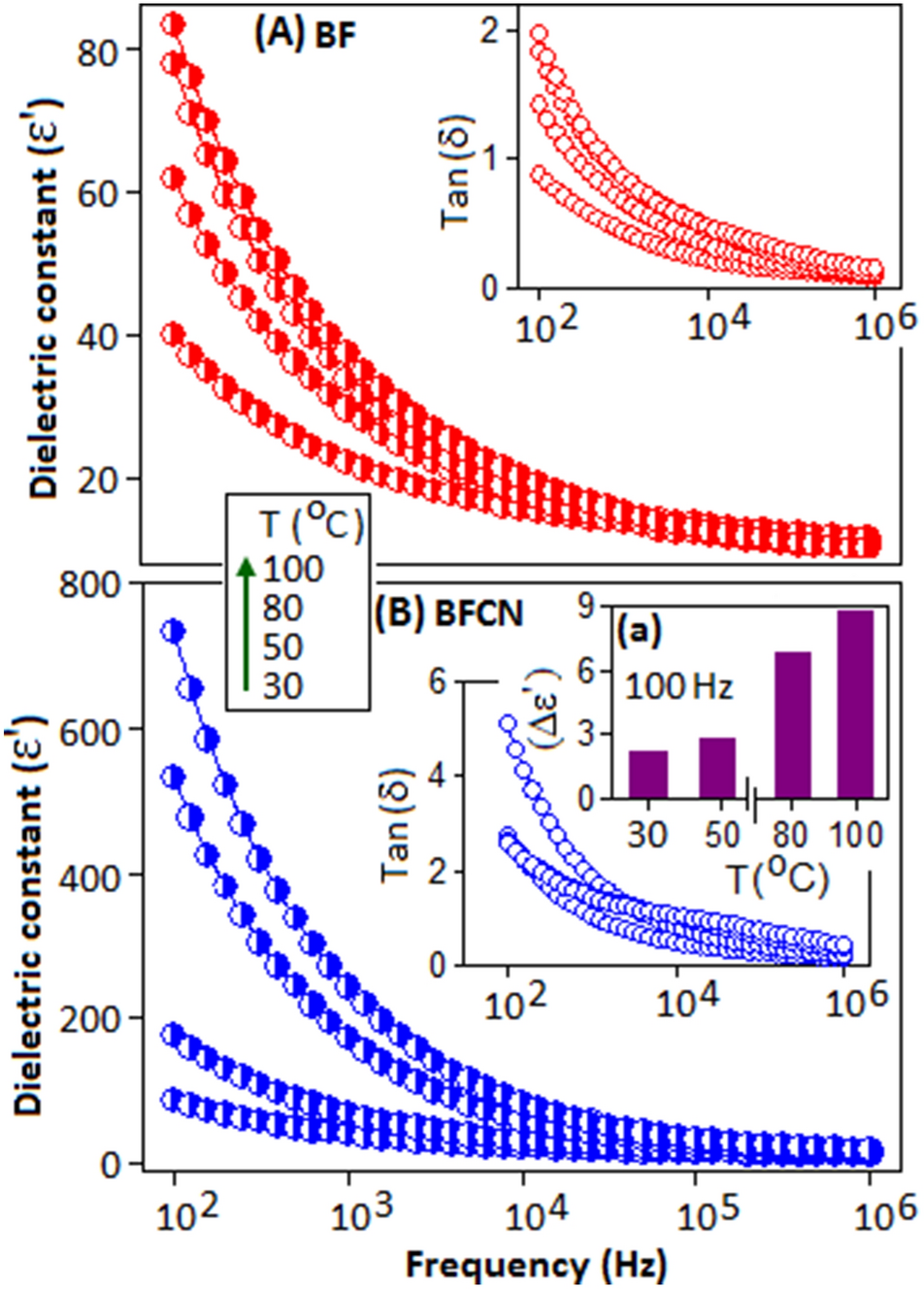
Frequency dependent dielectric constant (ε′) and dielectric loss factor (tanδ) (inset) of (A) BF and (B) BFCN. The increment of dielectric constant (Δεʹ) with temperature is illustrated in inset (a).

Frequency dependent dielectric constant (ε′) and dielectric loss factor (tanδ) (inset) of (A) BF and (B) BFCN. The increment of dielectric constant (Δεʹ) with temperature is illustrated in inset (a).