Figure 1
From: Dynamic and subtype-specific interactions between tumour burden and prognosis in breast cancer

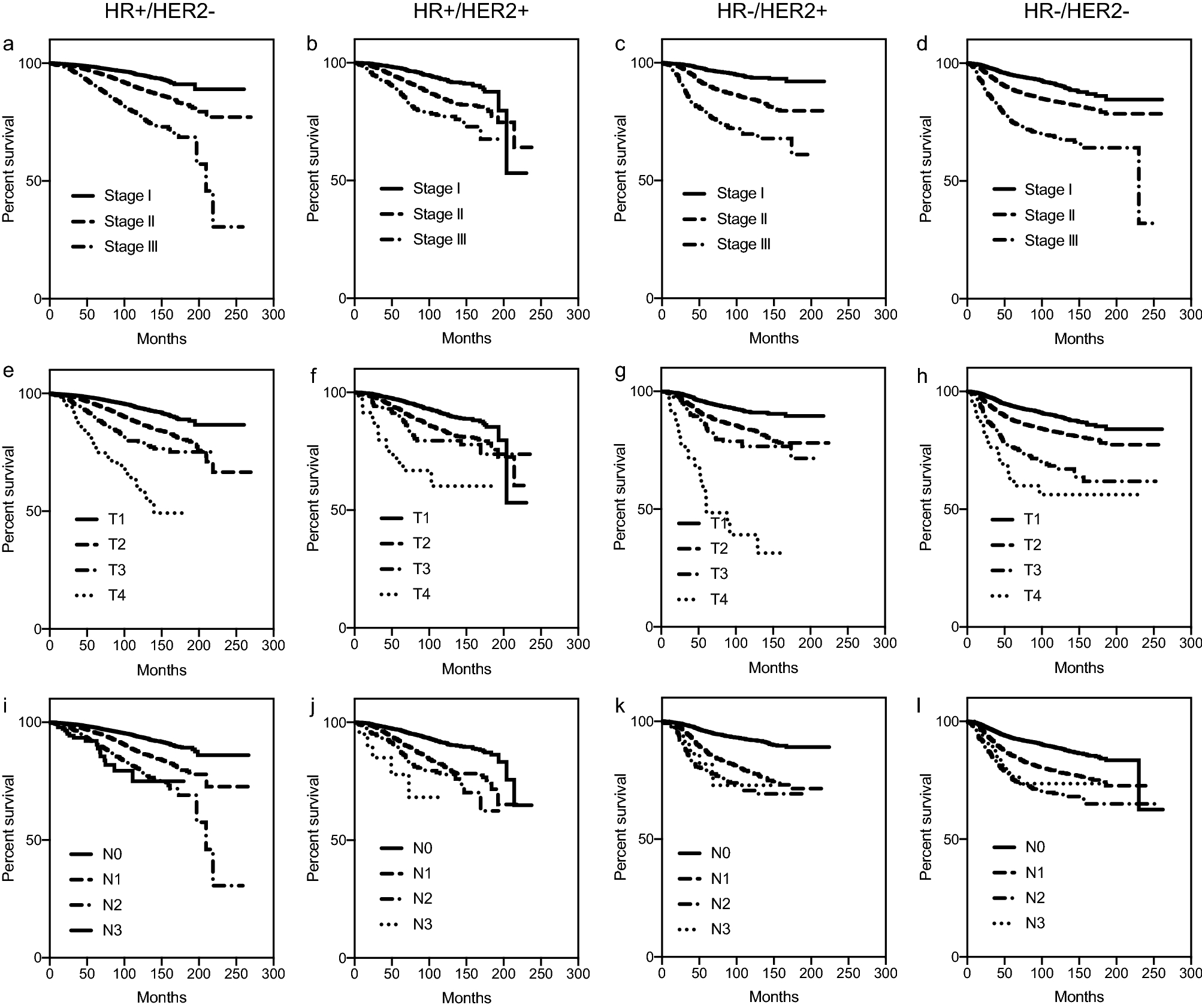
Prognostic significance of TNM staging information in different subtypes of breast cancer. Kaplan–Meier curve of overall survival according to stage (a–d), T stage (e–h), and N stage (i–l) stratified by tumour subtypes (HR+/HER2−, HR+/HER2+, HR−/HER2+, and HR−/HER2−).