Figure 2
From: Heterogeneous ozone effects on the DNA methylome of bronchial cells observed in a crossover study

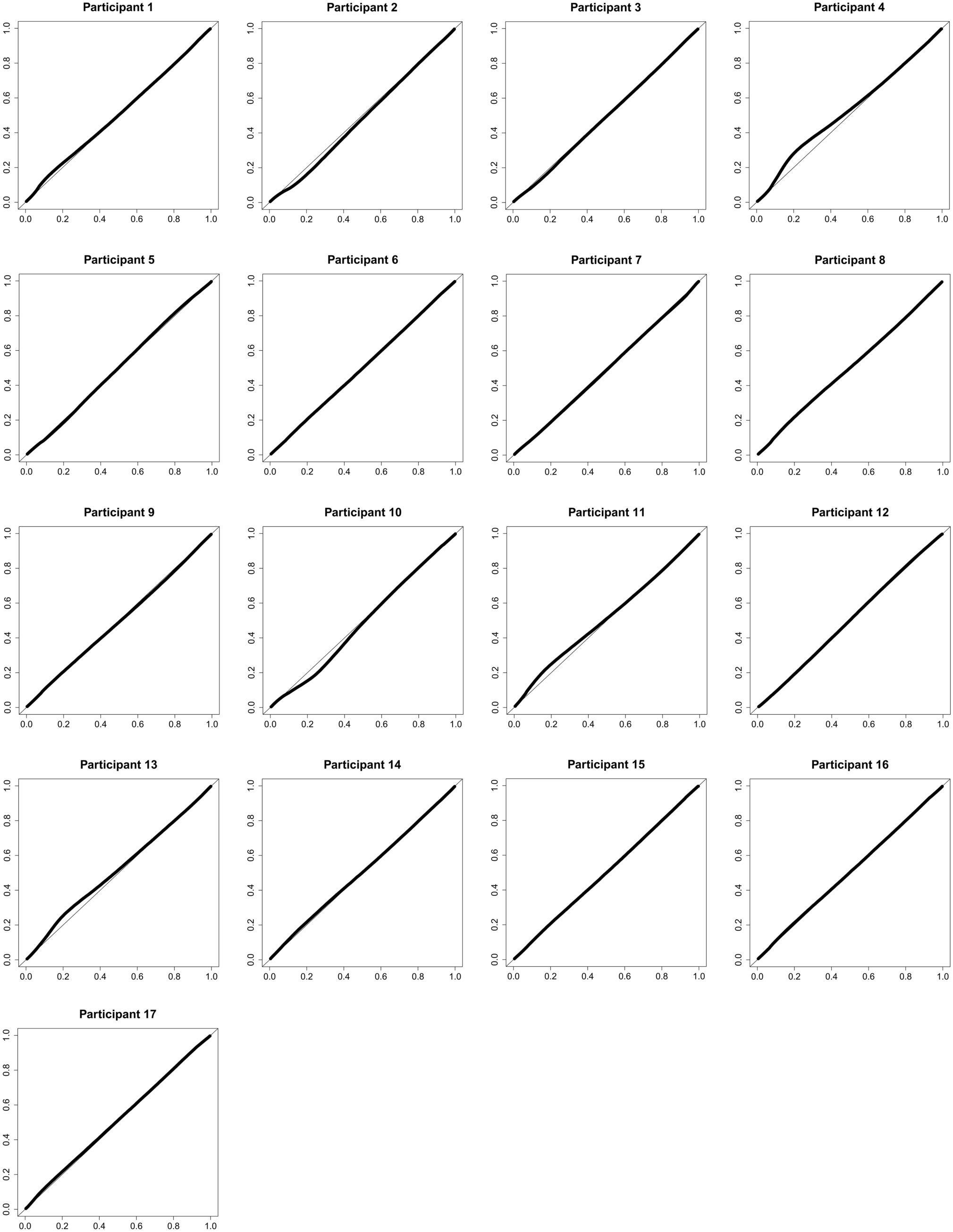
Participant-specific Q-Q plots for the empirical epigenomic participant methylation distributions after ozone versus after clean air.
From: Heterogeneous ozone effects on the DNA methylome of bronchial cells observed in a crossover study

Participant-specific Q-Q plots for the empirical epigenomic participant methylation distributions after ozone versus after clean air.