Figure 5
From: Heterogeneous ozone effects on the DNA methylome of bronchial cells observed in a crossover study

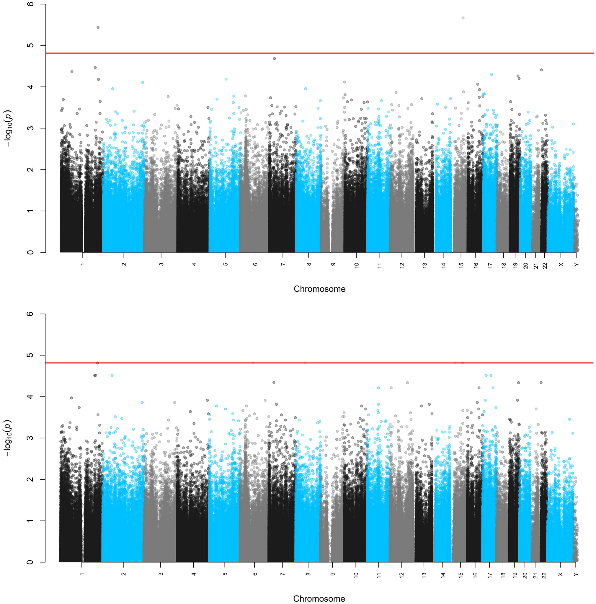
Manhattan plots of the univariate asymptotic p-values (top) and Fisher exact p-values (bottom).
From: Heterogeneous ozone effects on the DNA methylome of bronchial cells observed in a crossover study

Manhattan plots of the univariate asymptotic p-values (top) and Fisher exact p-values (bottom).