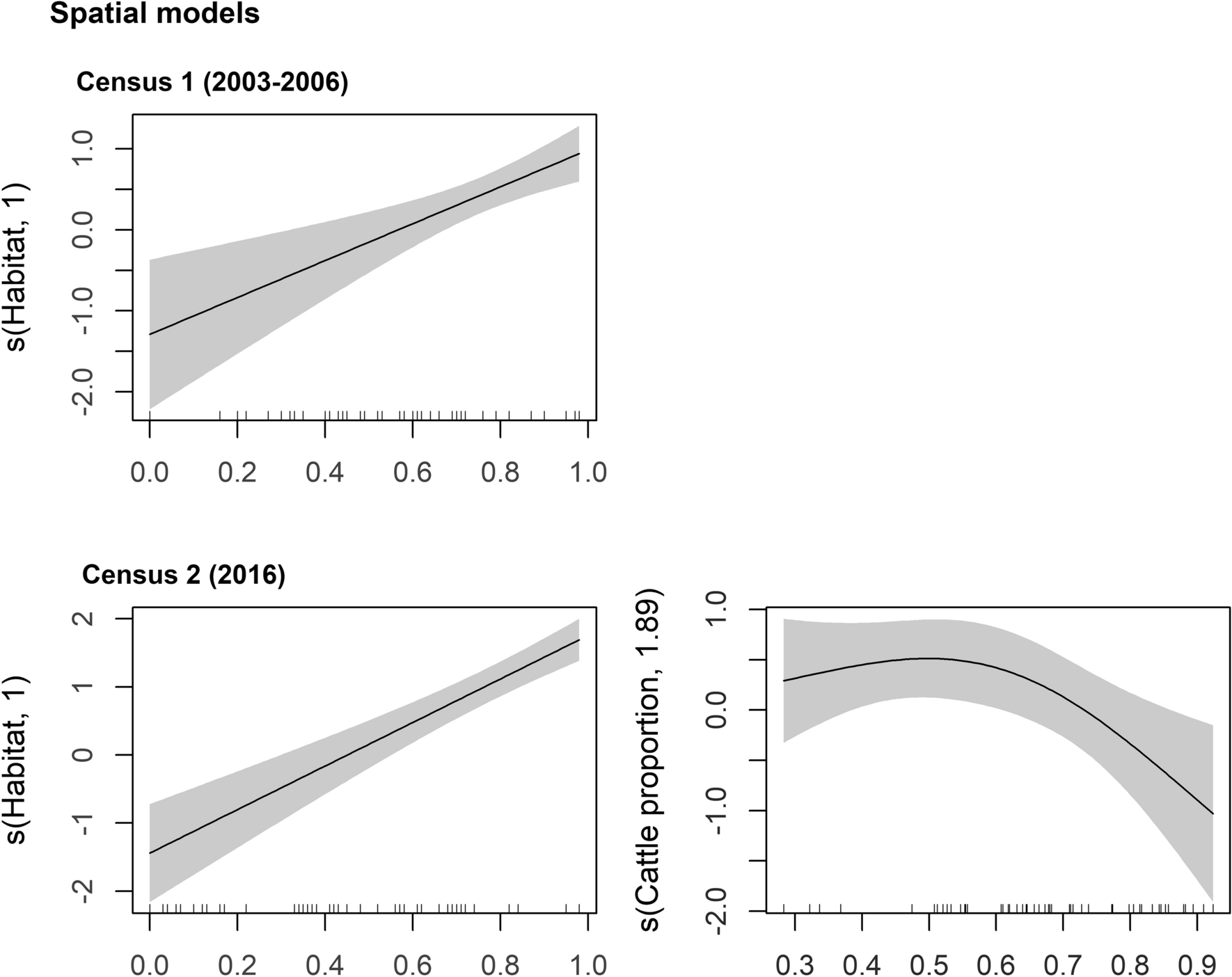
Figure 2

Generalized additive model partial effects for the two spatial models of the relationship between the little bustard density in each survey (2003–2006 and 2016) and the environmental predictors. Shaded areas represent 95% confidence intervals. The y-axis shows the contribution of the fitted centered smooth terms s (names of the predictor, estimated degrees of freedom) to the response variable (little bustard density in each survey). Ticks on the x-axis represent the location of observations along the predictor.