Figure 3
From: Two coupled chains are simpler than one: field-induced chirality in a frustrated spin ladder

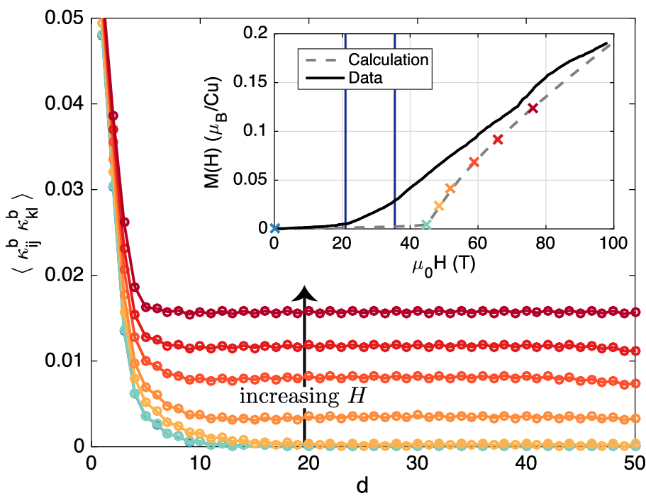
Chiral correlations. Correlations of longitudinal chirality \(\kappa _{ij}^b\) on two nearest-neighbor bonds \(\langle ij \rangle\) and \(\langle kl \rangle\) as a function of the distance d along the ladder leg, calculated for different magnetic fields (cf. inset). Inset: Calculated magnetization, along with data reported in Ref. 34. Crosses indicate the fields at which the correlation functions shown in the main panel were evaluated and vertical blue lines correspond to the experimental \(H_{c1}\) and \(H_{c2}\) values33. The continuous evolution of the calculation results with H is due to the symmetry-lowering DM interactions (cf., e.g., Ref. 43).