Figure 4
From: Automated thermal imaging for the detection of fatty liver disease

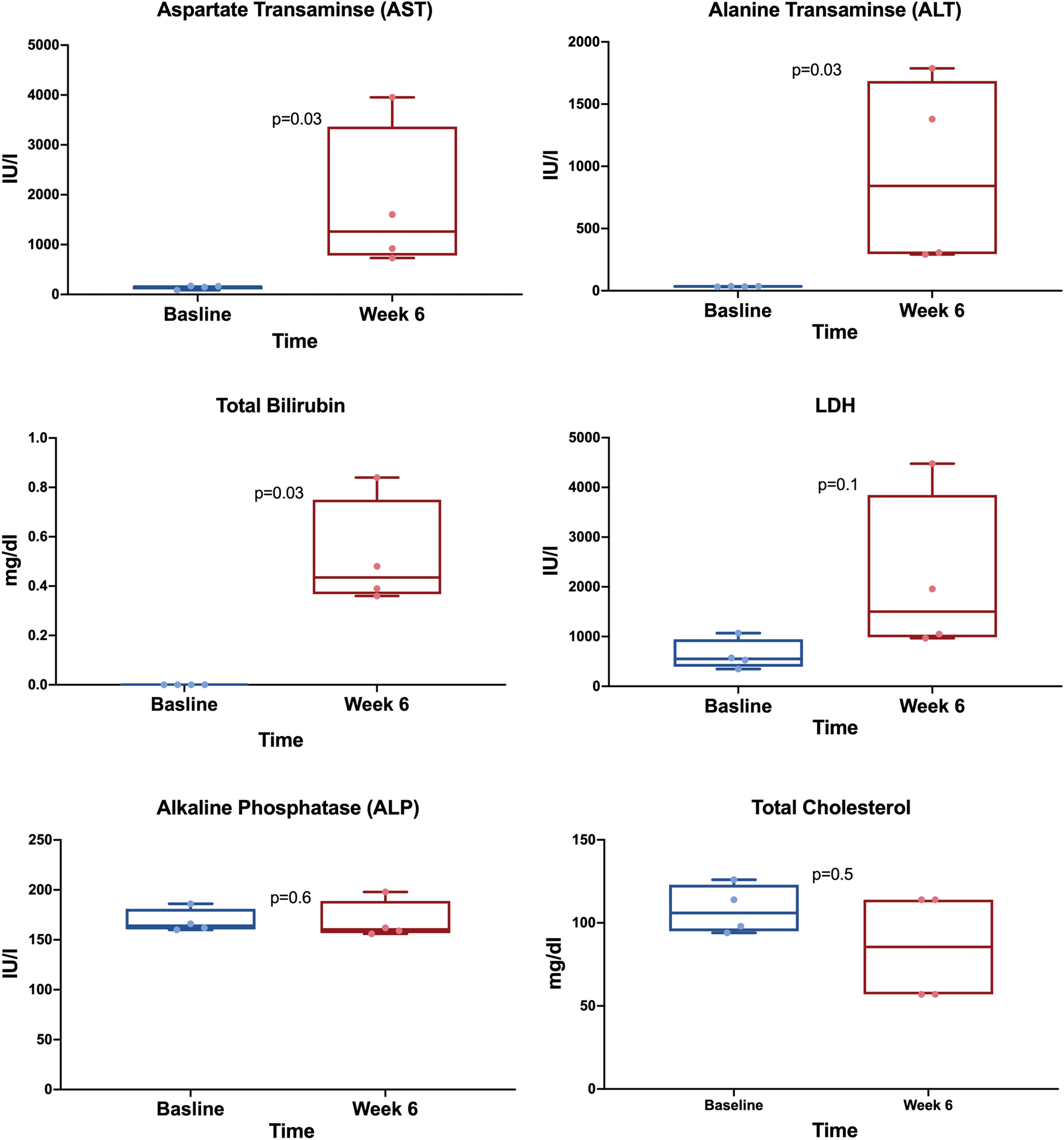
MCD-diet altered blood liver enzymes and lipid profile. We drew blood from the hearts of mice at baseline and after 6 weeks of MCD diet and ran a chemistry panel. The liver enzymes AST and ALT increased from baseline along with total bilirubin and LDH. Total cholesterol levels slightly decreased from baseline concentrations, while ALP concentrations did not change significantly. Displayed are box-and-whisker plots with individual values. P-values by Mann–Whitney test. MCD methionine-choline deficient, ALT alanine transaminase, AST aspartate transaminase, ALP alkaline phosphatase, LDH lactate dehydrogenase.