Figure 5
From: Oblique collision of ion acoustic solitons in a relativistic degenerate plasma

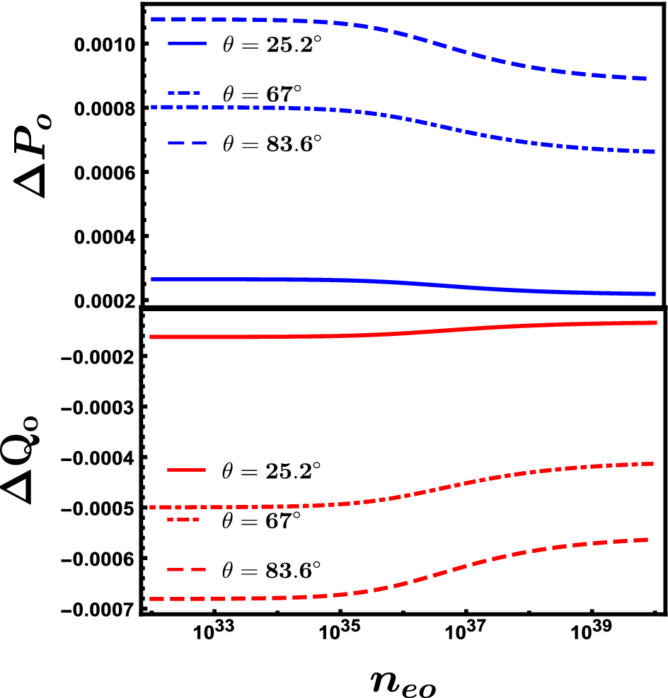
The demeanor of the \(\triangle P_{o}\) and \(\triangle Q_{o}\) against the electrons fluid number density \(n_{eo}\) at different obliqueness angles \(\theta \) where \(\epsilon =0.01\), \(\phi {}_{1m}^{\eta }=0.3\), \(\phi {}_{1m}^{\xi }=0.4\) and \(\Omega =0.2\).